0  266352  266360  266366  266370  266376  266378  266382  266388  266390  266396  266402  266406  266408  266412  266418  266420  266426  266430  266432  266436  266438  266442  266444  266446  266447  266448  266450  266451  266452  266454  266456  266460  266462  266466  266468  266472  266478  266480  266486  266490  266492  266496  266502  266508  266510  266516  266520  266522  266528  266532  266538  266546  447090 

26.(14分)A、B、C、D、E是五种短周期元素,原子序数依次增大。前四种的原子序数之和是E的原子序数的二倍。E的阳离子与D的阴离子都比A阳离子多2个电子层。D与四种元素中任意一种都可形成原子个数比不相同的若干种化合物。B是形成化合物种类最多的元素。请回答下列问题:

   (1)写出元素符号:A      ,E      

   (2)D在周期表中位于第      周期,第    族。

   (3)五种元素原子半径由大到小的顺序是(用A~E字母表示)     

   (4)A、B、C、D可形成一种受热易分解的化合物,写出该化合物受热分解的化学方程式                   

(5)0.5mol BD与A2D完全反应转移的电子数为         mol。

试题详情

25.(20分)在绝缘水平面上放一质量m=2.0×10-3kg的带电滑块A,所带电荷量q=1.0×10-7C.在滑块A的左边l=0.3m处放置一个不带电的绝缘滑块B,质量M=4.0×10-3kg,B与一端连在竖直墙壁上的轻弹簧接触(不连接)且弹簧处于自然状态,弹簧原长S=0.05m. 如图所示,在水平面上方空间加一水平向左的匀强电场,电场强度的大小为E=4.0×105N/C,滑块A由静止释放后向左滑动并与滑块B发生碰撞,设碰撞时间极短,碰撞后两滑块结合在一起共同运动并一起压缩弹簧至最短处(弹性限度内),此时弹性势能E0=3.2×10-3J,两滑块始终没有分开,两滑块的体积大小不计。与水平面间的动摩擦因数均为μ=0.50,g取10m/s2。求:

(1)两滑块碰撞后刚结合在一起的共同速度v;

(2)两滑块碰撞后到弹簧压至最短的过程中,滑块A电势能的变化量;

(3)两滑块被弹簧弹开后距竖直墙壁的最大距离S(结果保留两位小数)。

试题详情

24.我们都知道物质的原子是由带正电的原子核和带负电的电子组成,原子核由质子和中子组成,而反物质的的原子则由带负电的反原子核及带正电的正电子组成,反原子核由反质子和反中子组成。反质子、反中子、反电子等称为反粒子,反粒子具有与相应粒子完全相同的质量及相反的电磁性质。设图中各粒子或反粒子沿垂直于匀强磁场B的方向O进入横截面积为MNPQ的磁谱仪时速度相同,且氢原子核()在x轴上偏转位移为x0,x0恰好为其轨道半径r的一半,试预言反氢核()和反氦核()的轨道及其在轴上的偏转位移x1和x2

试题详情

23.(16分)篮球运动是一项同学们喜欢的体育运动,为了检测篮球的性能,某同学多次让一篮球从处自由下落,测出篮球从开始下落至第一次反弹到最高点所用时间为,该篮球第一次反弹从离开地面至最高点所用时间为0.5s,篮球的质量为取10m/s2。求篮球对地面的平均作用力(不计空气阻力)。

试题详情

22.(1)(6分)某同学想在家里做用单摆测定重力加速度的实验,但没有合适的摆球,他找到了一块大小为3cm左右,外形不规则的大理石块代替小球。他设计的实验步骤是:

A.将石块用细尼龙线系好,结点为M,将尼龙线的上端固定于O

B.用刻度尺测量OM间尼龙线的长度L作为摆长

C.将石块拉开一个大约α=30°的角度,然后由静止释放

D.从摆球摆到最高点时开始计时,测出30次全振动的总时间t,,由T=t/30得出周期

E.改变OM间尼龙线的长度再做几次实验,记下每次相应的LT

F.求出多次实验中测得的LT的平均值,作为计算时使用的数据,代入公式求出重力加速度g

①(3分)该同学以上实验步骤中有重大错误的是_______________。

②(3分)该同学用OM的长作为摆长,这样做引起的系统误差将使重力加速度的测量值比真实值________ (偏大或偏小)。

(2)(12分)某研究性学习小组首先根据小孔成像原理估测太阳半径,再利用万有引力定律估算太阳的密度。准备的器材有:a. 不透光圆筒,一端封上不透光的厚纸,其中心扎一小孔,另一端封上透光的薄纸;b. 毫米刻度尺。已知地球(可视为质点)绕太阳公转的周期为T,轨道半径r,万有引力常量为G。①为估测太阳半径R,让太阳通过小孔成像在圆筒的薄纸上,需测定的物理量是        ;②用已知量和测定量表示R          ;③利用万有引力定律推算太阳密度           

试题详情

21.如图所示,位于光滑水平桌面上质量相等的小滑块P和Q都可视作质点,Q与轻质弹簧相连。设Q静止,P以某一初动能E0水平向Q运动并与弹簧发生相互作用。若在整个作用过程中无机械能损失,用E1表示弹簧具有的最大弹性势能,用E2表示Q具有的最大动能,则

A.E1=E0   B.E1=

C.E2=E0   D.E2=

试题详情

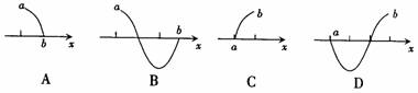
19.一列正弦波沿x轴传播,a、b为传播方向上的两点,其间距离小于一个波长。某时刻a点振动到x轴上方的最高点,b恰好通过平衡位置向上运动。则从此时刻起再经一个周期T时, a、b间的波形可能是下图中的

 

  20.如图所示,EF、GH为平行的光滑金属导轨,匀强磁场垂直于导轨平面,C为电容器,ab为可在EF和GH上滑动的导体横杆,正以速度v匀速向右运动. 若突然使电容器两板错开使其正对面积减小些,则       

    A.电容器上所带电荷量减少

    B.电容器上所带电荷量不变

    C.ab杆会逐渐停止运动

    D.ab杆的速度会增大一些

试题详情

18.如图甲所示,小车沿水平面向右做加速直线运动,车上固定的硬杆和水平面的夹角为θ,杆的顶端固定着一个质量为m的小球。当车运动的加速度逐渐增大时,杆对小球的作用力(F1至F4变化)的受力图形(O­ 沿杆方向)可能是图乙中的

 

选择题二

试题详情

17.在图示中。R1、R2是两定值电阻,R1的阻值很小,R2的阻值很大;G是一灵敏电流计,S1、S2为开关,下列判断正确的是

A.只闭合S1时,M、N之间是一个电压表

B.S1、S2都闭合时,M、N间是一个电流表

C.只闭合S1时,M、N间是一个电流表

D.S1、S2都断开时,M、N间是一个电流表

试题详情

16.如图所示的直线是真空中某电场的一条电场线,A、B是这条直线上的两点,一电子以速度经过A点向B点运动,经过一段时间后,电子以速度经过B点,且方向相反,则

      A.A点的场强一定大于B点的场强

    B.A点的电势一定低于B点的电势

    C.电子在A点的速度一定小于在B点的速度

    D.电子在A点的电势能一定小于在B点的电势能

试题详情


同步练习册答案