0  266974  266982  266988  266992  266998  267000  267004  267010  267012  267018  267024  267028  267030  267034  267040  267042  267048  267052  267054  267058  267060  267064  267066  267068  267069  267070  267072  267073  267074  267076  267078  267082  267084  267088  267090  267094  267100  267102  267108  267112  267114  267118  267124  267130  267132  267138  267142  267144  267150  267154  267160  267168  447090 

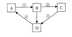
11.A、B、C、D是初中化学常见的物质,它们之间的转化关系如图所示(图中“→”表示物质之间存在转化关系,“-”表示两端的物质能发生反应,图中已略去部分物质),请回答问题:

(1)D的化学式为         

(2)若A、B、C分别含有一种、两种、三种元素,写出反应①的化学方程式                ,该反应的基本反应类弄为       

(3)若A、B、C均含有三种元素,写出反应①②的化学方程式:反应①        。反应②       

试题详情

10.A、B、C、D、E、F是初中化学常见的六种物质,它们之间的转化关系如图所示(图中“→”表示物质之间存在转化关系,“-”表示两端的物质能发生反应,图中已略去部分物质),其中A、B、D由两种元素组在,且A、B不含相同的元素,C、E由三种元素组成,F是维持生命活动的气体单质。

(1)F物质的化学式为       ;E物质的俗称为      

(2)写出下列反应的化学方程式:①B→E的反应            

②E→C的反应            

③C的用途:             (举一例说明即可)。

(3)A→B反应的基本反应类型是      

试题详情

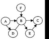
9. A、B、C、D、E、F、G、H八种物质均为初中化学常见物质,其存在如下转化关系。(图中“-”表示两端的物质能发生化学反应;“→”表示物质间存在转化关系。)其中B为供给呼吸的重要气体;G广泛用于玻璃、造纸、纺织、洗涤剂的生产;H、D、G的相对分子质量依次增大。回答下列问题:

  (1)B的化学式    ;G的俗称    

 (2)写出“H-D”“C→G”反应的化学方程式            

 (3)欲确定物质F还需要加上限制条件,写出你所加的限制条件及所确定的物质F的名称                     

 (4)若将D溶液与G溶液混合,所得溶液中溶质的组成可能是           ,欲探究该溶液中溶质的组成,你的方法是 

                     .

试题详情

8. 已知A~X代表八种初中常见物质, 相互转化关系如右图所示(部分产物已略去)。请回答下列问题。

(1)若A是不溶于水的化合物, D和F为氧化物,B是由两种元素组成的常见的酸,写出下列反应的化学方程式。

                         

                                

                                       

(2)若A~X中,共有3种单质,2种氧化物,且①②反应类型不同,F是由3种元素的组成的化合物,其中一种元素的含量约为36.8%,则F的化学式为     ,3种单质的化学式为      

试题详情

7. 下图中的A-Z等物质均为初中化学中的常见物质。已知A、B可发生中和反应, M与N、H与K所含元素种类相同,各物质间的转化关系如图所示(其中部分反应物或生成物已略去)。请按要求填空:

 

(1)写出A与B反应的化学方程式                       

(2)写出M与N的化学式          ,H与K的化学式         

(3)写出B→E反应的化学方程式                

试题详情

6. (共6分)A -G是初中化学常见的七种物质。“  ”表示两端的物质能发生化学反应;“  ”表示物质间存在转化关系。(部分生成物和反应条件已略去)

(1)若A、D 两物质的相对分子质量比为11:7,A、C、D 均含有一种相同元素,

E、F、G间的反应均在常温下进行,B与G的反应属于化合反应。

则B的化学式      ; G  E的反应条件是    

写出下列反应的化学方程式:

①D+ E      ②B+G      

(2)若A 与 F、C与D、E与G它们两两之间属于同一类物质,B为另一类物质。则F的化学式     ;写出 G  E反应的化学方程式            

试题详情

5. A~F为初中常见的六种物质,它们的相对分子质量依次增大,相互之间的关系如右图所示(图中弧线表示两端的物质能发生化学反应;箭头表示物质间存在转化关系。部分反应物或生成物以及反应条件已略去):

(1)B物质的化学式为 ;A转化为B的化学方程式为;C与D反应的化学方程式为

(2)在所有相关反应中没有出现的基本反应类型是,请补充一个属于该类型的化学方程式(要求:至少有一种反应物选自A~F)。

试题详情

4. 物质A、B、C、D、E、F都是初中化学中的常见物质。它们

有如右图所示的转化关系。回答下列问题:

(1)若D是一种红色金属,且D和C的溶液不能发生化学反应,则A的化学式为         ,反应②的化学方程式为        

(2)若E难溶于水,且C和D溶液能发生化学反应,写出反应①、②的化学方程式:①      ;②    

(3)若A、B、C所属物质类别不同,D和F均易溶于水,且D的相对分子质量小于F。则C的化学式为         ,反应①的化学方程式为        

试题详情

3. A、B、C、D、E、F是初中化学常见的六种物质,其中A和B、C和D组成的元素种类相同,它们之间的转化关系如右图所示((图中“-”表示两端的物质能发生化学反应;“→”表示物质间存在转化关系,图中已略去部分物质)。)。

回答下列问题

(1)A的化学式为   ,D→C的化学方程式为  

(2)若E和F均由两种元素组成,E和F的化学式为      ; 

(3)若E和F均由三种元素组成,写出指定的转化反应的化学方程式:

E→B+C   ;        F→B+C  

试题详情

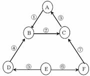
2.A ~ F是初中化学常见的6种物质,它们在一定条件下的转化关系如右下图所示(部分反应物或生成物已略去)。已知A由一种元素组成,B、C由两种元素组成,D、E、F由三种元素组成。①-⑦表示7个不同的化学反应。请回答问题。

⑴A的化学式为__▲__;③的基本反应类型为__▲__反应;F的俗称为__▲__

⑵分别写出反应③、⑥、⑦的化学方程式:③__▲__;⑥__▲__;⑦__▲__

试题详情


同步练习册答案