0  267481  267489  267495  267499  267505  267507  267511  267517  267519  267525  267531  267535  267537  267541  267547  267549  267555  267559  267561  267565  267567  267571  267573  267575  267576  267577  267579  267580  267581  267583  267585  267589  267591  267595  267597  267601  267607  267609  267615  267619  267621  267625  267631  267637  267639  267645  267649  267651  267657  267661  267667  267675  447090 

25.(10分)已知:1, 3-丁二烯与Cl2发生1:1加成反应时,有两种产物:

(1)1,2-加成:

CH2=CH-CH= CH2+ Cl2      CH2-CH-CH= CH2

Cl  Cl

(2)1,4加成:

CH2=CH-CH= CH2+ Cl2      CH2-CH=CH-CH2

Cl       Cl

已知F1和F2互为同分异构体,G1和G2互为同分异构体,D为:

请填空:

(1)A的结构简式是:         

(2)框图中第②步属于     反应,第④步属于     反应(填反应类型)。

(3)请分别写出框图中③、⑤的化学反应方程式(注明反应条件,并配平):

 ③:                                    

⑤:                                   

(4)G1的结构简式是:                  

试题详情

24.(7分)某课外活动小组利用下图装置进行乙醇的催化氧化实验,图中铁架台等装置已略去,粗黑线表示乳胶管。请填写下列空白:

 

(1)甲装置常常浸在70-80℃的水浴中,目的是___________。

(2)实验时,先加热玻璃管乙中的铜丝,约1分钟后鼓入空气,铜丝出现红色和黑色交替的现象,请写出相应的化学方程式:___________________________。在不断鼓入空气的情况下,熄灭酒精灯,反应仍能继续进行,说明该乙醇催化氧化反应是_____反应。(填“放热”或“吸热”)。

(3)若试管丁中用水吸收产物,为防止倒吸,则要在导管乙、丙之间接上戊装置,其连接方法是(填戊装置中导管代号):乙接________、_______接丙。

试题详情

23.(4分)下列有关实验的说法正确的是__________________________(填序号)

A.石油分馏时,温度计水银球应插入混合液中,而实验室制乙烯时则不能插入混合液中

B.为减慢反应速率,制乙炔时用饱和食盐水代替水

C.将铁屑、溴水、苯混合制溴苯

D.检验酒精中的少量水:向酒精中加入无水CuSO4

E.提取碘水中的碘:加入CCl4,振荡、静置分层后,取出有机层再分离

试题详情

22.(5分)相对分子质量为72的烷烃,其分子式是        ,若此有机物的一氯代物分子中含有两个-CH3,两个-CH2-,一个     和一个-Cl,它的可能结构有四种,

CH3-CH-CH2-CH2-CH3     CH3-CH-CH2-CH3

Cl               CH2Cl

 

请写出另外两种的结构简式                        

试题详情

21.(6分)已知某有机物的结构简式为:

(1)该有机物中所含官能团的名称是_______________________________。

(2)该有机物发生加聚反应后,所得产物的结构简式为______________。

(3)写出该有机物发生消去反应的化学方程式(注明反应条件):

______________________________________________________________

试题详情

20.有A、B两种烃,所含碳元素的质量分数相同,关于A和B叙述中正确的是:

A.二者不可能是同系物   B.二者一定是同分异构体

C.二者最简式相同     D.各1mol的A和B分别燃烧生成CO2的质量一定相等

第Ⅱ卷(非选择题 共40分)

试题详情

19.在甲苯中,加入少量酸性高锰酸钾溶液,振荡后溶液褪色。下列解释正确的是 

A.苯发生加成反应使其褪色      B.苯环被KMnO4所氧化而破坏

C.侧链受苯环的影响而易被氧化    D.苯环和侧链相互影响,同时被氧化

试题详情

18.下列关于同分异构体判断正确的是

A.分子式为C2H6O的同分异构体有两个,分别是和CH3CH2OH

B.分子式为C8H10的芳香烃有3个,分别为

C.分子式为C4H8的烯烃同分异构体有2个,分别为CH2=CHCH2CH3、CH3CH=CHCH3

 

H
 
Cl 
 
D.二氯甲烷是四面体结构,   和     是同一个物质。

试题详情

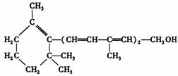
17.巳知维生素A的结构简式如下,下列关于它的说法不正确的是   

 

A.维生素A是一种芳香族化合物   B.维生素A能使酸性高锰酸钾溶液褪色 

C.维生素A能发生取代反应     D.1mol维生素A最多能与5mol溴水发生加成反应

试题详情

16.设NA为阿伏加德罗常数,下列说法正确的是

A.在标准状况下,22.4 L 乙醇充分燃烧后生成气态产物的分子数为2NA

B.常温常压下,1mol乙烷所含有的共价键数目为8NA

C.2.8 g乙烯和丙烯的混合气体中所含碳原子数为0.2NA

D.92g乙醇与足量的金属钠反应,生成氢气(H2)的分子数为NA

试题详情


同步练习册答案