0  293986  293994  294000  294004  294010  294012  294016  294022  294024  294030  294036  294040  294042  294046  294052  294054  294060  294064  294066  294070  294072  294076  294078  294080  294081  294082  294084  294085  294086  294088  294090  294094  294096  294100  294102  294106  294112  294114  294120  294124  294126  294130  294136  294142  294144  294150  294154  294156  294162  294166  294172  294180  447090 

21. (广东梅州五华县横陂中学2009届高考模拟测试)煤的“气化”是使煤变成洁净能源的有效途径之一,其

主要反应为:C + H2O       CO + H2   甲酸苯丙酯(F)是生产香料和药物的重要原料。下图是用煤为原料合成甲酸苯

丙酯的路线图(部分反应条件和生成物已略去),其中D的分子式为C9H10O,且能发生银镜反应。

根据上述转化关系回答下列问题:

(1)    写出A、D的结构简式:A:_______________ D:________________

(2)    D→E的反应类型为:_________________

(3)    B与新制Cu(OH)2悬浊液反应也能生成C,写出其化学方程式

_______________________________________________

(4)写出C与E反应生成F的化学方程式:____________________________________________

(5) “合成气” (CO、H2)除作合成有机物的原料外,还有其他用途,如________________________(举一例)。

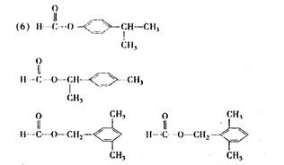
(6) F有多种同分异构体,写出满足下列条件的两种同分异构体的结构简式。

①属于酯类, 且能发生银镜反应。②苯环上的一氯代物只有两种。

③分子中只有 两个甲基_______________________、 _______________________。

O
 
答案 (1) A:CH3OH     D:   

(2)  加成 

(3) HCHO + 2Cu(OH)2HCOOH +Cu2O↓+ 2H2O

(4)

(5)  燃料、合成氨(任选一例)

 

试题详情

20.(四川省绵阳中学2009届高三二诊模拟试题学)化学上常用燃烧法确定有机物的组成。如图所示装置是用燃烧法确定烃或烃的含氧衍生物分子式的常用装置,这种方法是在电炉加热时用纯氧氧化管内样品,根据产物的质量确定有机物的组成。

回答下列问题:

(1)A中发生反应的化学方程式为______________________________________。

(2)B装置的作用是_____________,燃烧管C中CuO的作用是______________。

(3)产生氧气按从左向右流向,燃烧管C与装置D、E的连接顺序是:C______________。

(4)反应结束后,从A装置锥形瓶内的剩余物质中分离出固体,需要进行的实验操作是

________________________。

(5)准确称取1.8g烃的含氧衍生物X的样品,经充分燃烧后,D管质量增加2.64g,E管质量增加1.08g,则该有机物的实验式是____________________。实验测得X的蒸气密度是同温同压下氢气密度的45倍,则X的分子式为______________,1molX分别与足量Na、NaHCO3反应放出的气体在相同条件下的体积比为1∶1,X可能的结构简式为_______________________。

答案 (1)2H2O2=MnO2=2H2O+O2    (2)干燥氧气;可能将产生的CO氧化成CO2

(3)E---D   (4)过滤   (5)CH2O  C3H6O3   CH3CH(OH)-COOH , HO-CH2CH2-COOH

试题详情

19.(双流县2009届高中毕业班理科综合能力测试)芳香族化合物A有两个邻位取代基,且A的相对分子质量不超过180,完全燃烧只生成CO2和H2O;A中氧元素的质量分数为28.92%。A-H有如下转化关系:

请回答有关问题:

(1)A中含氧官能团的名称         ,B的结构简式           

(2)在上述化合物中,可看作酯类的是       ,互为同分异构体的是      ,E→F的反应类型为       

(3)A→H的化学方程式                      

(4)G与足量NaOH醇溶液共热的化学方程式:

                               

(5)写出3个符合下列要求的A的同分异构体的结构简式:

①含有苯环;②1 mol该有机物与足量溴水作用消耗3 mol Br2;③1 mol该有机物与足量氢氧化钠溶液作用消耗3 mol NaOH。

答案(1)羟基,羧基 

(2)D、H    E、H   加聚反应

(3)

(4)

(5)

试题详情

18. (四川梓潼一中高2009级高考模拟理科)近年来,由于石油价格不断上涨,以煤为原料制备一些化工产品的前景又被看好。下图是以煤为原料生产聚氯乙烯(PVC)和人造羊毛的合成路线。

请回答下列问题:

⑴写出反应类型  反应①           反应②            

⑵写出结构简式 PVC            C            

⑶写出AD的化学反应方程式                    

⑷与D互为同分异构体且可发生碱性水解的物质有    种(不包括环状化合物),写出其中一种的结构简式           

答案  ⑴加成反应   加聚反应

  ⑵    H2C=CH-CN

⑶HC≡CH+CH3COOHH2C=CH-OOCCH3

⑷ 4  CH2=CHCOOCH3 

试题详情

17.(长沙市第一中学09高三第六次月考)写出下列各有机物的结构简式:

(1)当0.2mol烃A在O2中完全燃烧时生成CO2和H2O各1.2mol,催化加氢后生成2,2-二甲基丁烷。则A的结构简式为         

(2)某炔烃和H2充分加成后生成2,5-二甲基己烷,则该烃的结构简式为          

(3)某烃1mol与2molHCl完全加成,生成的氯代烷最多还可以与4molCl2发生光取代反应,则该烃的结构简式为              

(4)分子式为C6H12的某烯烃中所有的碳原子均在同一平面上,则该烃的结构简式为    

(5)某烷烃A的蒸汽的密度是相同状况下氢气密度的64倍,经测定得知该分子中共含有6个甲基。

①若A不可能是烯烃与氢气的加成产物,则A的结构简式为           

②若A是炔烃与氢气的加成产物,则A的结构简式为           

(6)已知烯烃、炔烃,经臭氧作用发生反应:

  

  

某烃分子式为C10H10,在臭氧作用下可发生如下反应:

  

则C10H10的结构简式为                       

答案

(1)                     (2)

 

(3)CH≡CH                 (4)

 

(5)①                    ②

(6)CH3C≡C-CH=CH-C≡C-CH=CH-CH3

试题详情

16.(东北师大附中09高三年级“三年磨一剑”第四次摸底考试)已知:①醛在一定条件下可以两分子加成:

  

产物不稳定,受热即脱水而成为不饱和醛。

②B是一种芳香族化合物。根据下图所示转化关系填空(所有无机物均已略去) 

(1)写出B、F的结构简式:

B                ;F                

  (2)写出②和③反应的反应类型:

          ;③               。

  (3)写出G、D反应生成H的化学方程式:             。

  (4)F若与H2发生加成反应,每摩F最多消耗的H2的物质的量为    mol。

答案

(1)B: F:

(2)加成;消去 

   (3) 

     

   (4)5

试题详情

16.(2009届高三上学期期未考试理综)芳香族化合物B、C、F与链状有机物A、D、E、G间的变化关系如下图所示。B中苯环上的一溴代物有四种,D可发生银镜反应,C、G属同类有机物。以下变化中,某些反应条件及产物未标明。

⑴加热时D与新制的Cu(OH)2悬浊液反应的化学方程式是      

⑵请写出有机物C可能的结构简式:         

⑶一定条件下,F与足量的A发生反应的化学方程式是     (只写一例)。

⑷请写出同时符合下列条件的B的同分异构体的结构简式    

a、分子中含有苯环      b、能发生水解反应       c、能发生银镜反应

⑸若B在200℃时经催化氧化(以V2O5作催化剂)后能转化为有机物H,在ZnCl2存在的条件下,有机物H与苯酚可合成酚酞,反应如下:

 

则H的结构简式是     

答案  ⑴CH3CHO+2Cu(OH)2CH3COOH+Cu2O+2H2O

 

 

 、 、 、

 ⑸ 

试题详情

15.(银川一中2009届高三年级第五次月考测试理综)

肉桂酸甲酯 () 常用于调制具有草莓、葡萄、樱桃、香子兰等香味的食用香精。 

(1)肉桂酸甲酯的分子式是           。 

(2)有关肉桂酸甲酯的叙述中,正确的是         (填标号)。 

A.能与溴的四氯化碳溶液发生加成反应   B.无法使酸性高锰酸钾溶液褪色 

C.在碱性条件下能发生水解反应      D.不可能发生加聚反应  

(3)G为肉桂酸甲酯的一种同分异构体,其分子结构模型如

右图所示(图中球与球之间连线表示单键或双键)。G的结构

简式为             

(4)用芳香烃A 为原料合成G的路线如下: 

 

①化合物E中的官能团有             (填名称)。

②B→C的反应类型是         ,该反应的化学方程式为: 

                                         

③写出符合下列条件的F的同分异构体的结构简式:                 

ⅰ.分子内含苯环,且苯环上只有一个支链; 

ⅱ.一定条件下,1mol该物质与足量的银氨溶液充分反应,生成4mol银单质。

答案 (1) C10H10O2                               

  (2)A、C                    

(3)             

(4)①羧基、羟基                

    ②取代反应                 

 

③                           

试题详情

14.(湖北省黄冈市2008年秋季高三年级期末考试)有机物A的结构简式为:

 

  (1)A的分子式为      

  (2)lmol A与NaOH溶液反应时,最多消耗NaOH         mol;

  (3)B在一定条件下自身分子内可以发生酯化反应生成不同的环状酯,请写出其中的一种五元环状酯的结构简式               

  (4)D的某同系物在O2中充分燃烧后,产物n(CO2):n(H2O)=3:2,该同系物的分子式为           

答案(1)C12H13O4Cl

    (2)3

  (3)        (4)C12H16O2

试题详情

13.(湖北省武汉市教科院2009届高三第一次调考)香兰素A是一种重要的香料。已知香兰素A的分子式为C3H8O3,可以发生下列转化关系中的化学反应。

   

  其中E的结构简式为:

  (1)写出香兰素A的结构简式:            

  (2)写出反应BC的化学方程式:           

  (3)写出反应GF的化学方程式:           

  (4)CD转化过程中的反应类型有:          

  (5)香兰素A的同分异构体有多种,写出其中满足下列条件的同分异构体的结构简式:

          

  A.能跟FeCl3溶液发生显色反应

  B.能使石蕊试液变红色

  C.苯环上的一溴代物只有两种

答案

    (1)

   

  (2)

   

  (3)

  (4)中和反应(或复分解反应)、水解反应

  (5)

试题详情


同步练习册答案