0  312778  312786  312792  312796  312802  312804  312808  312814  312816  312822  312828  312832  312834  312838  312844  312846  312852  312856  312858  312862  312864  312868  312870  312872  312873  312874  312876  312877  312878  312880  312882  312886  312888  312892  312894  312898  312904  312906  312912  312916  312918  312922  312928  312934  312936  312942  312946  312948  312954  312958  312964  312972  447090 

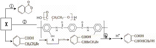
12.(12分)(江苏省苏北四市2009届高三下学期第三次调研考试(化学))乙基香兰素是当今世界上最重要的合成香料之一,其结构简式如下图所示。

(1)以下推测正确的是     (填字母)。

  a.从分子结构上看,它应该属于芳香烃

  b.该物质的一个分子内含有一个碳氧双键、三个碳碳双键

  c.1 mol该物质最多能与4molH2发生加成反应

  d.该物质能与碳酸钠溶液反应产生CO2气体

 (2) R物质属于乙基香兰素的同分异构体,其性质如下:

试写出符合条件的R的同分异构体的结构简式(任写两种) :           。(3)X也是乙基香兰素的同分异构体,可以通过不同的反应制得下列物质。

 

请回答下列问题:

(Ⅰ)反应①、②的反应类型              

(Ⅱ)反应③所需的试剂是       ;A的结构简式        ;

(Ⅲ)反应④的化学方程式         

试题详情

11.(8分)(2009年涡阳四中高三有机化学测试卷)绿色有机合成是指采用无毒、无害的原料、催化剂和溶剂,选择具有高选择性、高转化率,不生产或少生产对环境有害的副产品合成。下列是BHC公司新发明的布洛芬(Ibuprofen)绿色合成方法。

   

试回答下列问题:

(1)反应③属于羰基合成,反应①、②分别所属的有机反应类型是:        

(2)反应①的化学方程式为:                         

(3)不能与布洛芬发生反应的物质是     (填字母)

    A、CH3CH2OH   B、金属钠  C、溴水   D、H2

(4)与布洛芬互为同分异构体的芳香族化合物中,其结构可表示为的酯类,X的结构有:       种(填数字)。

(5)某学生提议用Reppe反应一步合成布洛芬,并使原子利用率100%,已知:RCH=CH2+CO+H2O  RCH(CH3)COOH,请一种有机原料合成布洛芬:  ____   

试题详情

10.(16分)(2009年涡阳四中高三有机化学测试卷)近年来,国际原油价格大幅上涨,促使各国政府加大生物能源生产,其中酒精汽油已进入实用化阶段。

(1)柴油是含C15~C18的碳氢化合物的混合物,这些碳氢化合物属于有机物中的____类。

(2)乙醇在铜或银作催化剂的条件下,可以被空气中的氧气氧化成X,X的结构简式

是_________________。

(3)乙醇可以与酸性重铬酸钾溶液反应,被直接氧化成Y,Y 含有官能团的名称是_________。在浓硫酸作用下,乙-丙醇与Y反应可生成一种有香味的物质W,化学方程式为___________________________________________________________ 。   

(4)现有两瓶无色液体,分别盛有Y、W,只用一种试剂就可以鉴别,该试剂可以是__________     或_________            __       __。

(5)工业上通过乙烯与水在一定条件下反应制得乙醇,反应类型是______________;现代石油化工采用银作催化剂,乙烯能被氧气氧化生成环氧乙烷      ,该反应的原子利用率为100%,反应的化学方程式为_________                  

                                      

试题详情

9.(09江苏卷19)(14分)多沙唑嗪盐酸盐是一种用于治疗高血压的药物。多沙唑嗪的合成路线如下:

(1)写出D中两种含氧官能团的名称:     和     。

(2)写出满足下列条件的D的一种同分异构体的结构简式         。

    ①苯的衍生物,且苯环上的一取代产物只有两种;②与Na2CO3溶液反应放出气体;

    ③水解后的产物才能与FeCl3 溶液发生显色反应。

(3)E→F的反应中还可能生成一种有机副产物,该副产物的结构简式为      。

(4)由F制备多沙唑嗪的反应中要加入试剂X(C10H10N3O2Cl),X的结构简式为    。

 (5)苯乙酸乙酯是一种常见的合成香料。请设计合理的方案以苯甲醛和乙醇为原料合成

    苯乙酸乙酯(用合成路线流程图表示,并注明反应条件)。

    提示:①R-Br+Na→R-CN+NaBr ;②合成过程中无机试剂任选;

    ③合成路线流程图示例如下:

CH3CH2OH H2C=CH2       BrH2C-CH2Br 

试题详情

8.(09全国卷Ⅰ30)(15分)

化合物H是一种香料,存在于金橘中,可用如下路线合成:

 

已知:

回答下列问题:

(1)11.2L(标准状况)的烃A在氧气中充分燃烧可以产生88 g CO2和45 g H­O。

A的分子式是________________

(2)B和C均为一氯代烃,它们的名称(系统命名)分别为___________________________________________________;

(3)在催化剂存在下1 mol F与2 mol H­2反应,生成3-苯基-1-丙醇。F的结构简式是_____________

(4)反应①的反应类型是__________________;

(5)反应②的化学方程式为__________________________

(6)写出所有与G具有相同官能团的G的芳香类同分异构体的结构简式:

__________________________________

试题详情

7. (北京海淀区2009届高三二模(理综))丁子香酚可做香味剂,萨罗可做消毒剂,二者的结构简式如下:

下列说法不正确的是

A. 萨罗的分子式为C13H10O3

B. 丁子香酚与浓溴水只发生取代反应

C. 丁子香酚和萨罗均能发生氧化反应

D. 丁子香酚和萨罗均能与氯化铁溶液发生显色反应

试题详情

6.(2009年涡阳四中高三有机化学测试卷)K粉,医学上称氯胺酮,属于静脉全麻药品,具有一定的精神依赖性。因其物理形状通常为白色粉末,故称“K”粉。目前,该药物已被我国药检部门列为第二类精神药品管理。其结构简式如下。下列说法正确的是                                       (   )

    A.“K”粉的化学式为C13H10NOCl2

    B.1mol“K”粉在一定条件下可与4molH2发生加成反应

    C.“K”粉分子中至少有6个C原子处于同一平面

    D.“K”粉不能与NaOH溶液发生反应

试题详情

5.(辽宁省沈阳二中2009届高三二模)三鹿奶粉受三聚氰胺污染,氰胺()在一定条件下生成三聚氰胺(),下列推断正确的是(   )

   A.三聚氰胺属于不饱和烃

   B.氰胺()生成三聚氰胺为加聚反应

C.三聚氰酸与三聚氰胺互为同分异构体

   D.氰胺合成三聚氰胺的原子利用率为100%

试题详情

4. 2006年诺贝尔化学奖授予美国科学家Roger.D.Kormberg,他揭示了真核生物体内的细胞如何利用基因内存储的信息生产蛋白质。下列关于蛋白质的说法中正确的是

A.蛋白质均为天然有机高分子化合物,没有蛋白质就没有生命

B.蛋白质均易溶于水,均能跟浓硝酸作用变黄

C.HCHO溶液或(NH4)2SO4溶液均能使蛋白质变性

D.可以采用多次盐析或多次渗析的方法分离提纯蛋白质

试题详情

3.(09上海卷9)迷迭香酸是从蜂花属植物中提取得到的酸性物质,其结构

  如右图。下列叙述正确的是

   A.迷迭香酸属于芳香烃

   B.1mol迷迭香酸最多能和9mol氢气发生加成反应

   C.迷迭香酸可以发生水解反应、取代反应和酯化反应

D.1mol迷迭香酸最多能和含5mol NaOH的水溶液完全反应

试题详情


同步练习册答案