0  315130  315138  315144  315148  315154  315156  315160  315166  315168  315174  315180  315184  315186  315190  315196  315198  315204  315208  315210  315214  315216  315220  315222  315224  315225  315226  315228  315229  315230  315232  315234  315238  315240  315244  315246  315250  315256  315258  315264  315268  315270  315274  315280  315286  315288  315294  315298  315300  315306  315310  315316  315324  447090 

22.(本小题满分12分)

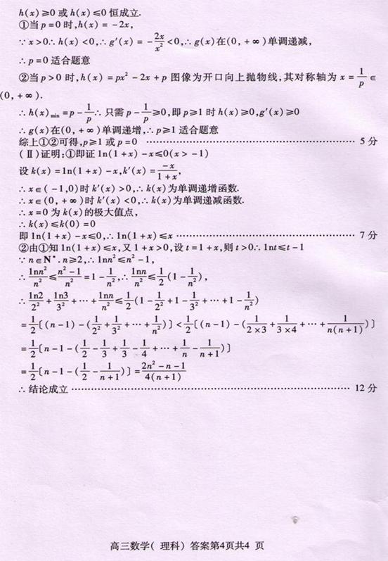
   设g(x)=px--2f(x),其中p≥0,f (x)=lnx.

   (Ⅰ)若g (x)在其定义域内为单调函数,求p的取值范围;

   (Ⅱ)证明:①f (x+1)≤x(x>-1);

++…+<(n∈N,n≥2).

试题详情

21.(本小题满分12分)

已知椭圆C:(a>b>0),F1,F2为其左、右两焦点,A为右顶点,l为左准线,

过F1的直线:x=my-c与椭圆相交于P、Q两点,且有·(a+c)2

   (Ⅰ)求椭圆C的离心率e的最小值;

   (Ⅱ)若AP∩l=M,AQ∩l=N,求证:M、N两点的纵坐标之积为定值.

试题详情

20.(本小题满分12分)

如图,已知正三棱柱ABC-A1B1C1的底面边长是2,D是侧棱CC1的中点,直线AD与

侧面BB1C1C所成的角为45°.

   (Ⅰ)求此正三棱柱的侧棱长;                              

   (Ⅱ)求二面角A-BD-C的大小;

   (Ⅲ)求点C到平面ABD的距离.

试题详情

19.(本小题满分12分)

   2008年5月12日,四川汶川发生8.0级特大地震,通往灾区的道路全部中断5月12日晚,抗震救灾指挥部决定从水路(一支队伍)、陆路(东南和西北两个方向各一支队伍)和空中(一支队伍)同时向灾区挺进.在5月13日,仍时有较强余震发生,天气状况也不利于空中航行.已知当天从水路抵达灾区的概率是,从陆路每个方向抵达灾区的概率都是,从空中抵达灾区的概率是. 

   (Ⅰ)求在5月13日恰有1支队伍抵达灾区的概率;

   (Ⅱ)求在5月13日抵达灾区的队伍数的数学期望.

试题详情

18.(本小题满分12分)  

   已知函数f(x)=ax+b,当x∈[a1,b1]时,值域为[a2,b2],当x∈[a2,b2]时,值域为

   [a3,b3],…,当x∈[]时,值域为[an,bn],其a、b为常数,a1=0,b1=1.

   (Ⅰ)若a=1,求数列{an}与数列{bn}的通项公式;

   (Ⅱ)若a>0,设数列{an}与{bn}的前n项和分别为Sn和Tn,求T2009-S2009的值.

试题详情

17.(本小题满分10分) 

   已知函数f(x)= (x∈R).

(Ⅰ)把y=f(x)的图像沿x轴向左平移m个单位(m>0)所得函数的图像关于直线x=

对称,求m的最小值;

(Ⅱ)证明:当x∈(-,-)时,经过函数y=f(x)的图像上任意两点的直线斜

率为负数.

试题详情

16.椭圆的焦点为F1,F2,则该椭圆上的点到以F1F2为直径的圆上的点之间的距离的取值范围是_________________

试题详情

15.已知m、n均为正数,且,当取得最小值时,直线mx+ny-1=0的斜率为__________________  

试题详情

14.已知(1+x)8=a0+a1x+…+a8x8,从a0,a1,…,a8这9个数中取出两个数恰好一个奇数一个偶数的概率是__________________。

试题详情

13.不等式x|x-1|>l的解集为____________ 

试题详情


同步练习册答案