0  371460  371468  371474  371478  371484  371486  371490  371496  371498  371504  371510  371514  371516  371520  371526  371528  371534  371538  371540  371544  371546  371550  371552  371554  371555  371556  371558  371559  371560  371562  371564  371568  371570  371574  371576  371580  371586  371588  371594  371598  371600  371604  371610  371616  371618  371624  371628  371630  371636  371640  371646  371654  447090 

3.某电梯以加速度a(ag)加速下降,在这过程中,站在电梯里的人

A.所受支持力做正功,机械能增加   B.所受支持力做负功,机械能减少

C.所受支持力做正功,机械能减少   D.所受支持力做负功,机械能增加S5U

试题详情

2.如图,某物块分别沿三条不同的轨道由离地高hA点滑到同一水平面上,轨道1、2是光滑的,轨道3是粗糙的,则

A.沿轨道1滑下重力做功多

B.沿轨道2滑下重力做功多

C.沿轨道3滑下重力做功多

D.沿三条轨道滑下重力做的功一样多

试题详情

1.下面说法正确的是

A.做曲线运动的物体所受的合外力一定不为零

B.牛顿发现并总结了万有引力定律,并测出了引力常量G的数值

C.匀速圆周运动是速度不变的运动

D.只要物体发生了位移,就一定有力对它做功

试题详情

1、(2010江苏卷)设集合A={-1,1,3},B={a+2,a2+4},A∩B={3},则实数a=______▲_____.

[解析] 考查集合的运算推理。3B,  a+2=3,  a=1

试题详情

11.对任意,都有.

[解析]特称命题的否定时全称命题,“存在”对应“任意”.

[误区警示]这类问题的常见错误是没有把全称量词改为存在量词,或者对于“>”的否定用“<”了.这里就有注意量词的否定形式.如“都是”的否定是“不都是”,而不是“都不是”.

(2010重庆文数)(11)设,则=____________ .

解析:

(2010重庆理数)(12)设U=,A=,若,则实数m=_________.

解析:A={0,3},故m= -3

(2010四川理数)(16)设S为复数集C的非空子集.若对任意,都有,则称S为封闭集。下列命题:

①集合S={a+bi|(为整数,为虚数单位)}为封闭集;

②若S为封闭集,则一定有

③封闭集一定是无限集;

④若S为封闭集,则满足的任意集合也是封闭集.

其中真命题是          (写出所有真命题的序号)

解析:直接验证可知①正确.

S为封闭集时,因为xyS,取xy,得0∈S,②正确

对于集合S={0},显然满足素有条件,但S是有限集,③错误

S={0},T={0,1},满足,但由于0-1=-1ÏT,故T不是封闭集,④错误

答案:①②

(2010福建文数)15. 对于平面上的点集,如果连接中任意两点的线段必定包含于,则称为平面上的凸集,给出平面上4个点集的图形如下(阴影区域及其边界):

其中为凸集的是         (写出所有凸集相应图形的序号)。

[答案]②③

(2010四川文数)(16)设S为复数集C的非空子集.若对任意,都有,则称S为封闭集。下列命题:

①集合S={a+bi|(为整数,为虚数单位)}为封闭集;

②若S为封闭集,则一定有

③封闭集一定是无限集;

④若S为封闭集,则满足的任意集合也是封闭集.

其中真命题是          (写出所有真命题的序号)

解析:直接验证可知①正确.

S为封闭集时,因xyS,取xy,得0∈S,②正确

对于集合S={0},显然满足素有条件,但S是有限集,③错误

S={0},T={0,1},满足,但由于0-1=-1ÏT,故T不是封闭集,④错误

答案:①②

试题详情

9.(2010湖南文数)已知集合A={1,2,3,},B={2,m,4},A∩B={2,3},则m=    3  

(2010安徽文数)(11)命题“存在,使得”的否定是   

试题详情

15.(2010湖南文数)若规定E=的子集为E的第k个子集,其中k= ,则

(1)是E的第___5_个子集;

(2)E的第211个子集是_______

试题详情

1.(2010上海文数)已知集合  2   

解析:考查并集的概念,显然m=2

试题详情

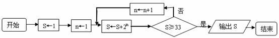
7、(2010江苏卷)右图是一个算法的流程图,则输出S的值是______▲_______

[解析]考查流程图理解。输出

试题详情

(2010山东理数)(13)执行右图所示的程序框图,若输入,则输出的值为        

[答案]

[解析]当x=10时,y=,此时|y-x|=6;

当x=4时,y=,此时|y-x|=3;当x=1时,y=,此时|y-x|=

x=时,y=,此时|y-x|=,故输出y的值为

[命题意图]本题考查程序框图的基础知识,考查了同学们的试图能力。

(2010湖南理数)12.图2是求

的值的程序框图,则正整数    

(2010安徽理数)14、如图所示,程序框图(算法流程图)的输出值________。

14.12

[解析]

程序运行如下:

,

输出12。

[规律总结]这类问题,通常由开始一步一步运行,根据判断条件,要么几步后就会输出结果,要么就会出现规律,如周期性,等差或等比数列型.

试题详情


同步练习册答案