0  420462  420470  420476  420480  420486  420488  420492  420498  420500  420506  420512  420516  420518  420522  420528  420530  420536  420540  420542  420546  420548  420552  420554  420556  420557  420558  420560  420561  420562  420564  420566  420570  420572  420576  420578  420582  420588  420590  420596  420600  420602  420606  420612  420618  420620  420626  420630  420632  420638  420642  420648  420656  447090 

1.“天人合一”是现代生态思想的基础,是中国传统哲学对人类的贡献。 以下句子中能体现古人适应自然规律的是(   )

    A.天道是无,而有生于无,无中生有

    B.“惟天地万物父母,惟人万物灵长”

    C.“天行健,君子以自强不息”

    D.顺天时,量地利,则用力少而成功多

试题详情

23.(12分)有一透明溶液,已知其中可能含有Fe3+、Mg2+、Cu2+、Al3+、NH4+,加入一种淡黄色粉末状固体时,加热有刺激性气味的混合气体放出,同时生成白色沉淀。当加入0.4 mol淡黄色粉末时,产生气体0.3mol,继续加入淡黄色粉末时,产生无刺激性气味的气体,且加入淡黄色粉末时产生白色沉淀的量如图所示:

根据题意回答下列问题:

(1)淡黄色粉末为________________(填名称)。

(2)溶液中肯定有_____    _______离子,肯定没有_____    _______离子。

(3)溶液中离子的物质的量之比为______        ______

(4)写出下列方程式:

①淡黄色粉末与水反应的化学方程式:______________________      _

②沉淀部分减少时反应的离子方程式:_______________________   __________

试题详情

22.(8分)向100mL 3mol/L的NaOH溶液中缓慢通入一定量的CO2 ,充分反应,测得最后溶液的PH>7。

(1)此时溶液的溶质若是单一成分,可能是           ;如果是多种成分,可能是                      

(2)在上述所得溶液中,逐滴缓慢滴加1mol/L的盐酸,所得气体的体积与所加盐酸的体积(不考虑溶解于水)关系如图所示。

①B点时,产生的CO在标准状况下的体积为__   ______mL

②B点时,反应所得溶液中溶质的物质的量浓度是__     __(溶液体积的变化忽略不计)

试题详情

21.(10分)现代循环经济要求综合考虑环境污染和经济效益。请填写下列空白。

(1)实验室里,可用于吸收SO2尾气的一种试剂是     

(2)高纯氧化铁可作现代电子工业材料。以下是用硫铁矿烧渣(主要成分为Fe2O3、Fe3O4、   FeO、SiO2)为原料制备高纯氧化铁(软磁α- Fe2O3)的生产流程示意图:

①步骤I中过滤所得滤渣的主要成分是    

②步骤II中加入铁粉的目的是          

③步骤Ⅲ中可选用    试剂调节溶液的pH(填标号)。

A.稀硝酸    B.双氧水   C.氨水     D.高锰酸钾溶液

④写出在空气中煅烧FeCO3,制备高纯氧化铁的化学方程式

                 

⑤从滤液C中回收的主要物质的一种用途是          

试题详情

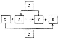
20.(8分)X、Y、Z为三种常见的单质,Z为绿色植物光合作用后的产物之一,A、B为常见的化合物。它们在一定条件下可以发生如图所示的转化关系(反应均不是在溶液中进行的)(以下每空中填入一种即可)。

(1)当X、Y均为金属时,Y的化学式为      ,B的化学式为      

(2)当X为非金属且为气体,Y为金属且为紫红色时,X的化学式为     ,A的化学式为         

(3)当X为金属、Y为非金属且为固体时,X与A反应的化学方程式为         

(4)当X、Y均为非金属固体时,X与A反应的化学方程式为           

试题详情

19. (10分)某兴趣小组同学共同设计了如图所示的实验装置,既可用于制取气体,也可用于验证物质的性质。请回答下列问题:

  (1)利用装置Ⅰ、Ⅱ制取气体(K2关闭,K1打开)。

甲同学认为:利用装置Ⅱ可以收集H2、NH3等气体,但不能收集O2和NO,你认为是否正确    (填“是”“否”),理由是                   

乙同学认为:利用装置Ⅱ作简易改进(不改变仪器装置),可收集NO2气体,改进的方法是                                   

丙同学认为:利用装置Ⅱ作简易改进(改变仪器装置),可收集NO2气体,改进的方法是                                      

(2)利用装置Ⅰ、Ⅲ验证物质的性质(K2打开,K1关闭)。如设计实验证明氧化性:KMnO4>Cl2>Br2则在A中加浓盐酸,B中加        ,C 中加          ,观察到C中的现象是                             

试题详情

18.(6分)用5.0mol﹒L-1的NaOH溶液配制0.1mol﹒L-1的NaOH溶液时,如图所示的仪器中,肯定不需要的是_________(填序号),配制上述溶液还需要的玻璃仪器是___________________(填仪器名称)。

(2)在配制过程中,下列操作将导致实际所配NaOH溶液浓度偏低的是(填编号)____________

①准确取出的浓NaOH溶液在空气中露置时间过长;

②用量器将浓NaOH溶液直接加入容量瓶,缓慢加入蒸馏水至液面最低点恰好和环形刻度线相切;

③摇匀后,液面低于刻度线,再加蒸馏水至液面最低点恰好和环形刻度线相切;

④稀释NaOH溶液的仪器未洗涤。

试题详情

17.硝酸铜是制备Cu-Zn-Al系催化剂的重要原料,制取硝酸铜现有三种设计方案可供选用:

①Cu与稀硝酸反应制取:3Cu+8HNO3=3Cu(NO3)2+2NO↑+4H2O

②Cu与浓硝酸反应制取:Cu+4HNO3=Cu(NO3)2+2NO2↑+2H2O

③通氧气于铜屑与稀硝酸的体系中制取:2Cu+4HNO3+O2=2Cu(NO3)2+2H2O

下列说法正确的是

A.制取相同量的硝酸铜需硝酸的量③最多

B.制取相同量的硝酸铜①产生的有毒气体比②多

C.三种方案中硝酸的利用率③>①>②

D.三种方案的反应都可以在铁制容器中进行

高三阶段性教学质量检测

化学试题

第Ⅱ卷(非选择题 共54分)

试题详情

16.下列溶液中,各组离子一定能大量共存的是

A.使酚酞试液变红的溶液: Na+、Cl-、SO42-、Fe3+    

B.使紫色石蕊试液变红的溶液:Fe2+、Mg2+、NO3-、Cl-

C.碳酸氢钠溶液:K+、SO42-、Cl-、H+

D.c(H+)=10-12 mol·L-1的溶液:K+、Ba2+、Cl-、Br-

试题详情

15.在BaCl2溶液中通入SO2气体,溶液仍澄清。若将BaCl2溶液分盛到两个试管中,其中一支加入硝酸,另一支加入烧碱,然后再通入SO2气体,结果两支试管都要白色沉淀生成。由此得知下列结论合理的是

①BaCl2有两性           ②两支试管中生成的白色沉淀均是BaSO3

③SO2有还原性其水溶液具有酸性   ④升高PH会使SO2水溶液中的SO32-浓度增大

A.①②        B.②③        C.③④        D.①④

试题详情


同步练习册答案