0  421572  421580  421586  421590  421596  421598  421602  421608  421610  421616  421622  421626  421628  421632  421638  421640  421646  421650  421652  421656  421658  421662  421664  421666  421667  421668  421670  421671  421672  421674  421676  421680  421682  421686  421688  421692  421698  421700  421706  421710  421712  421716  421722  421728  421730  421736  421740  421742  421748  421752  421758  421766  447090 

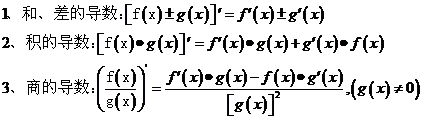
8、导数的运算法则:

复合函数的导数:首先要弄清复合函数的复合关系。它的求导法则是:复合函数对自变量的导数,等于已知函数对中间变量的导数乘以中间变量对自变量的导数,即

试题详情

7、几种常见函数的导数:(1)、常函数的导数为0,即

(2)、幂函数的导数为,与此有关的如下:

(3)、

(4)、

(5)、

试题详情

6、导数的几何意义:函数f(x)在点处的导数的几何意义,就是曲线y=f(x)在点

处的切线的斜率,即曲线y=f(x)在点处的切线的斜率是,相应地切线的方程是

试题详情

5、如果函数f(x)在点处可导,那么函数f(x)在点处连续,反之不一定成立。如:y=连续不可导。

试题详情

4、导函数的概念:如果函数f(x)在开区间(a,b)内可导,对于开区间(a,b)内的每一个,都对应着一个导数,这样f(x)在开区间(a,b)内构成一个新的函数,这一新的函数叫做f(x)在开区间(a,b)内的导函数,记作,导函数也简称为导数。

试题详情

3、导数的概念:

试题详情

2、瞬时速度:

试题详情

1、曲线的切线:设曲线C是函数y=f(x)的图象,在曲线C上取一点,过P,Q两点作割线,当点Q沿着曲线逐渐向点P接近时,即→0时,割线PQ的极限位置PT,直线PT叫做曲线在点P处的切线。设切线PT的倾斜角为割线PQ的斜率的极限就是曲线C在点P处的切线的斜率,

试题详情

6、

第二十讲导数及其应用

试题详情

5、  抛物线上到点的距离的最小值

试题详情


同步练习册答案