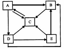
63.右图是反射弧结构模式图,a、b分别是放置在传出神经和骨骼肌上的电极,用于刺激神经和骨骼肌;c是放置在传出神经上的电位计,用于记录神经兴奋电位;d为神经与肌细胞接头部位,是一种突触。
(1)用a刺激神经,产生的兴奋传到骨骼肌引起的收缩
(属于或不属于)反射。
(2)用b刺激骨骼肌, (能或不能)在c处记录到电位。原因是
。
(3)正常时,用a刺激神经会引起骨骼肌收缩;传出部分的某处受损时,用a刺激神经,骨骼肌不再收缩,根据本题条件,完成下列判断实验:
①如果 ,表明传出神经受损。
②如果 ,表明骨骼肌受损。
③如果 ,表明部位d受损。
第Ⅱ卷(非选择题,共45分)
62.
右图是生态系统中碳循环示意图,图中“→”表示碳的流动方向。请回答:
(1)写出图中含有三个营养级的食物链(用字母表示)
![]()
![]()
![]()
![]()
![]()
(2)在物质循环的过程中,同时伴随着______。若生产者有5000kg,按能量最大传递效率计算,位于第三营养级的生物可增重___kg。
![]()
61.近年来在防治稻田虫害方面进行了多种尝试,如①构建稻一萍一鱼生态系统,在该系统中,虽有危害水稻的病菌、害虫和杂草,但鱼的活动可起到除虫、松土和增氧的作用,红萍叶片内的蓝藻固氮可促进红萍和水稻生长;②培育转Bt基因抗虫水稻,减少虫害。此外,一些水稻遭遇虫害时会释放某些物质,引来天敌消灭害虫,科学家称之为稻田三重营养关系。
根据上述材料,请回答下列问题:
(1)指出在稻一萍一鱼生态系统中存在哪些种间关系。(各举一例)
(2)在稻田三重营养关系中,水稻通过 信息引来天敌,防治害虫。
(3)转Bt基因抗虫水稻培育过程中,使用的工具有 。
60.请回答下列有关赤霉素的问题:
(1)赤霉素有促进细胞分裂的作用。用适宜浓度的赤霉素处理植物芽尖细胞,其细胞周期的__________期明显变短,此时期分子水平上所发生的变化主要是_________和________。
(2)植物体内赤霉素的合成主要在未成熟的种子、幼根和幼芽等__________的部位。
(3)赤霉素促进茎的伸长主要与细胞壁的伸展性有关。有人进行了CaCl2和赤霉素对某植物种子胚轴生长速率影响的实验,结果如右图所示。由图分析可知,一定浓度的CaCl2溶液对细胞壁的伸展起__________作用;加入赤霉素溶液的时间在图中的__________(A点、B点、C点)。根据上述实验分析赤霉素促进茎伸长的可能原因是__________。
59.某种野生植物有紫花和白花两种表现型,已知紫花形成的生物化学途径是:
A和a、B和b是分别位于两对染色体上的等位基因,A对a、B对b为显性。基因型不同的两白花植株杂交,F1紫花:白花=1:1。若将F1紫花植株自交,所得F2植株中紫花:白花=9:7
请回答:
(1)从紫花形成的途径可知,紫花性状是由 对基因控制。
(2)根据F1紫花植株自交的结果,可以推测F1紫花植株的基因型是 ,其自交所得F2中,白花植株纯合体的基因型是 。
(3)推测两亲本白花植株的杂交组合(基因型)是 或 。
(4)紫花形成的生物化学途径中,若中间产物是红色(形成红花),那么基因型为AaBb的植株自交,子一代植株的表现型及比例为 。
58.上图为两种遗传病系谱图,甲病基因用A、a表示,乙病基因用B、b表示,Ⅱ-4无致病基因。
![]()
(1)甲病的遗传方式为____________,乙病的遗传方式为____________。
(2) Ⅱ-2的基因型为____________,Ⅲ-1的基因型为____________,如果Ⅲ-2与Ⅲ-3婚配,生出正常孩子的概率为____________。
57.
在充满N2与CO2的密闭容器中,用水培法栽培几株番茄,CO2充足。测得系统的呼吸速率和光合速率变化曲线如下图,请回答问题。
(1)6-8h间,光合速率 (大于、小于)呼吸速率,容器内的CO2含量 ,植株干重 。
(2)9-10h间,光合速率迅速下降,推测最可能发生变化的环境因素是 ;10h时不再产生ATP的细胞器是 ;若此环境因素维持不变,容器内的O2含量将逐渐下降并完全耗尽,此时另一细胞器即 停止ATP的合成, 成为ATP合成的唯一场所。
56.
甲、乙两图是根尖生长点细胞和红枫叶肉细胞的亚显微结构示意图。请回答下列问题。
(1)表示根尖生长点细胞的是图____________;若将两种细胞分别置于30%蔗糖溶液中,则能发生质壁分离现象的细胞是图_____________,图中结构[ ]______________起重要作用。([ ]中填标号)
(2)细胞进行下列各种生命活动,正常情况下图甲细胞____________,图乙细胞__________。(填入编号) ①不增殖 ②能继续增殖 ③细胞核DNA只转录不复制
④出现染色体结构 ⑤有mRNA经核孔进入细胞质中
55.从高等植物叶片中分离出4种光合色素,其中呈橙黄色的是
A.叶绿素a B.叶绿素b C.胡萝卜素 D.叶黄素
第Ⅱ卷(非选择题,共45分)
54.水稻细胞内合成的某物质,能够在常温下高效分解淀粉,该物质
A. 在4°C条件下易变性 B.只含有C、H C.也能催化淀粉合成 D.含有羧基
湖北省互联网违法和不良信息举报平台 | 网上有害信息举报专区 | 电信诈骗举报专区 | 涉历史虚无主义有害信息举报专区 | 涉企侵权举报专区
违法和不良信息举报电话:027-86699610 举报邮箱:58377363@163.com