题目列表(包括答案和解析)

 0  120228  120236  120242  120246  120252  120254  120258  120264  120266  120272  120278  120282  120284  120288  120294  120296  120302  120306  120308  120312  120314  120318  120320  120322  120323  120324  120326  120327  120328  120330  120332  120336  120338  120342  120344  120348  120354  120356  120362  120366  120368  120372  120378  120384  120386  120392  120396  120398  120404  120408  120414  120422  447348 

6.在一个圆环形的跑道上,甲、乙两人在同一地点沿相同方向跑时,每隔16分相遇一次,如果两人速度不变,两人在同一地点沿相反方向跑时,每隔8分相遇一次,则甲跑一圈需要______分,乙跑一圈需要______分.

试题详情

5.有一个两位数,各位数字的和的6倍比原数大10,那么,这个两位数是______.

试题详情

4.姐妹俩今年的年龄和是40岁,当姐姐像妹妹现在这样大时,妹妹的年龄恰好是姐姐年龄的一半.则姐姐今年______岁.

试题详情

2.一只小船在静水中速度为每小时25千米,在210千米的河流中顺水而行时用了6小时,则返回原处需用______小时.

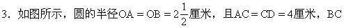
  =3厘米,则SⅠ+SⅡ+SⅢ-SⅣ=_______平方厘米.

  

试题详情

4.甲容器中有纯桔汁16升,乙容器中有水24升,问怎样能使甲容器中纯桔汁含量为60%,乙容器中纯桔汁含量为20%,甲、乙容器各有多少升?

试题详情

3.甲、乙、丙三个小孩分别带了若干块糖,甲带的最多,乙带的较少,丙带的最少.后来进行了重新分配,第一次分配,甲分给乙、丙,各给乙、丙所有数少4块,结果乙有糖块最多;第二次分配,乙给甲、丙,各给甲、丙所有数少4块,结果丙有糖块最多;第三次分配,丙给甲、乙,各给甲、乙所有数少4块,经三次重新分配后,甲、乙、丙三个小孩各有糖块44块,问:最初甲、乙、丙三个小孩各带糖多少块?

试题详情

2.如图甲、乙、丙三个皮带轮的半径比分别为:5∶3∶7,求它们的转数比.当甲轮转动7圈时,乙、丙两轮各转多少圈?

试题详情

1.学校要建一段围墙,由甲、乙、丙三个班完成,已知甲班单独干需要20小时完成,乙班单独干需要24小时完成,丙班单独干需要28小时完成,如果先由甲班工作1小时,然后由乙班接替甲班干1小时,再由丙班接替乙班干1小时,再由甲班接替丙班干1小时,……三个班如此交替着干,那么完成此任务共用了多少时间?

试题详情

10.某次数学竞赛原定一等奖8人,二等奖16人,现在将一等奖中最后4人调整为二等奖,这样得二等奖的学生的平均分提高了1.2分,得一等奖的学生的平均分提高了4分,那么原来一等奖平均分比二等奖平均分多______分.

试题详情

9.张明骑自行车,速度为每小时14千米,王华骑摩托车,速度为每小时35千米,他们分别从A、B两点出发,并在A、B两地不断往返行驶,且两人第四次相遇(两人同时到达同一地点叫做相遇)与第五次相遇的地点恰好相距120千米,那么,A、B两地之间的距离是______千米.

试题详情


同步练习册答案