题目列表(包括答案和解析)

 0  55806  55814  55820  55824  55830  55832  55836  55842  55844  55850  55856  55860  55862  55866  55872  55874  55880  55884  55886  55890  55892  55896  55898  55900  55901  55902  55904  55905  55906  55908  55910  55914  55916  55920  55922  55926  55932  55934  55940  55944  55946  55950  55956  55962  55964  55970  55974  55976  55982  55986  55992  56000  447348 

9.连掷两次骰子得到点数分别为m和n,记向量的夹角为的概率是(   )

   A.       B.       C.       D.

试题详情

8.在长为12cm的线段AB上任取一点M,并且以线段AM为边的正方形,

则这正方形的面积介于36cm2与81cm2之间的概率为(   )

  A.         B.        C.        D.

试题详情

7.甲、乙、丙、丁四位同学各自对A、B两变量的线性相关性作试验,

并用回归分析方法分别求得相关系数r与残差平方和m如下表:( D )

 




r
0.82
0.78
0.69
0.85
m
106
115
124
103

   则哪位同学的试验结果体现A、B两变量有更强的线性相关性?

   A.甲       B.乙       C.丙       D.丁

试题详情

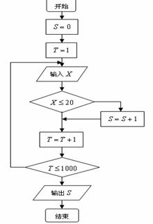
6.为调查某中学学生平均每人每天参加体育锻炼时间(单位:分钟),按锻炼时间分下列四种情况统计:①0-10分钟;②11-20分钟;③21-30分钟;④30分钟以上.有1000名中学生参加了此项活动,下图是此次调查中某一项的流程图,其输出的结果是620,则平均每天参加体育锻炼时间在0-20分钟内的学生的频率是   ( )

A.380                 B.620

C.                D.

试题详情

5.在抽查产品的尺寸过程中,将尺寸分成若干组,是其中的一组,抽查出的个体在该组上的频率为m,该组上的直方图的高为h,则( )

A.hm     B.      C.      D.

试题详情

4.某校高中研究性学习小组对本地区2006年至2008年快餐公司发展情况进行了调查,制成了该地区快餐公司个数情况的条形图和快餐公司盒饭年销售量的平均数情况条形图(如图),根据图中提供的信息可以得出这三年中该地区每年平均销售盒饭(   )

A.82万盒         B.83万盒        C.84万盒    D.85万盒

试题详情

3.从1008名学生中抽取20人参加义务劳动。规定采用下列方法选取:先用简单随机抽样的抽取方法从1008人剔除8人,剩下1000人再按系统抽样的方法抽取,那么在1008人中每个人入选的概率是(   )

A.都相等且等于    B.都相等且等于    C.不全相等   D.均不相等

试题详情

2.调查某厂工人生产某种产品的能力,随机抽查了2000位工人某

天生产该产品的数量.产品数量的分组区间为[45,50),[50,55),

[55,60),[60,65),[65,70),由此得到频率分布直方图如图示,

这20名工人中一天生产该产品数量在[55,70)的人数是(   )

A.1050          B.950         C. 210     D.1790

试题详情

1.某校有男生1500人,女生1200人,为了解该年级学生的健康情况,从男生中任意抽取30人,从女生中任意抽取24人进行调查.这种抽样方法是(   )

A.简单随机抽样法            B.抽签法

C.系统抽样法               D.分层抽样法

试题详情

22.(本题满分14分)本题共有3个小题,第1小题满分3分,第2小题满分5分,第3小题满分6分.

   在以O为原点的直角坐标系中,点A(4,-3)为△OAB的直角顶点.已知|AB|=2|OA|,且点B的纵坐标大于零.

  (1)求向量的坐标;

  (2)求圆关于直线OB对称的圆的方程;

  (3)是否存在实数a,使抛物线上总有关于直线OB对称的两个点?若不存在,说明理由:若存在,求a的取值范围.

试题详情


同步练习册答案