题目列表(包括答案和解析)

 0  76716  76724  76730  76734  76740  76742  76746  76752  76754  76760  76766  76770  76772  76776  76782  76784  76790  76794  76796  76800  76802  76806  76808  76810  76811  76812  76814  76815  76816  76818  76820  76824  76826  76830  76832  76836  76842  76844  76850  76854  76856  76860  76866  76872  76874  76880  76884  76886  76892  76896  76902  76910  447348 

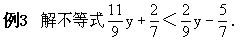
3.巧用分数加减法法则

  

  

 

 故 y<-1.

试题详情

2.巧用对消法

  例2 解不等式

 

 

 解 原不等式变为

 

 

试题详情

1.巧用乘法

  例1 解不等式0.25x>10.5.

 分析 因为0.25×4=1,所以两边同乘以4要比两边同除以0.25来得简便.

 解 两边同乘以4,得x>42.

试题详情

4、不等于(  )

A、  B、  C、  D、

试题详情

3、可写成(  )

A、  B、  C、  D、

试题详情

2、等于(  )

A、  B、  C、  D、

试题详情

1、等于(  )

A、  B、  C、  D、

试题详情

5、若 , 则________.

试题详情

4、

试题详情

3、

试题详情


同步练习册答案