题目列表(包括答案和解析)

 0  76717  76725  76731  76735  76741  76743  76747  76753  76755  76761  76767  76771  76773  76777  76783  76785  76791  76795  76797  76801  76803  76807  76809  76811  76812  76813  76815  76816  76817  76819  76821  76825  76827  76831  76833  76837  76843  76845  76851  76855  76857  76861  76867  76873  76875  76881  76885  76887  76893  76897  76903  76911  447348 

4.     (x2px+3)(xq)的乘积中不含x2项,则(  ) A.pq           B.p=±q     C.p=-q            D.无法确定

试题详情

3.     计算(2x-3y)(4x2+6xy+9y2)的正确结果是(  ) A.(2x-3y)2      B.(2x+3y)2       C.8x3-27y3          D.8x3+27y3

试题详情

2.     若(x+a)(x+b)=x2kx+ab,则k的值为(  ) A.a+b           B.-ab         C.ab           D.ba

试题详情

1.     计算(2a-3b)(2a+3b)的正确结果是(  )

A.4a2+9b2    B.4a2-9b2    C.4a2+12ab+9b2     D.4a2-12ab+9b2

试题详情

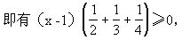
9.巧拆项

  例10 解不等式

 

 分析 将-3拆为三个负1,再分别与另三项结合可巧解本题.

 解 原不等式变形为

 

  

 得x-1≥0,故x≥1.

 练习题

 解下列一元一次不等式

 

  

 ③3{3x+2-[2(3x+2)-1]}≥3x+1.

试题详情

8.巧用整体合并

  例9 解不等式

 3{2x-1-[3(2x-1)+3]}>5.

 解 视2x-1为一整体,去大、中括号,得3(2x-1)-9(2x-1)-9>5,整体合并,得-6(2x-1)>14,

 

试题详情

7.逆用乘法分配律

  例8 解不等式

278(x-3)+351(6-2x)-463(3-x)>0.

 分析 直接去括号较繁,注意到左边各项均含有因式x-3而逆用分配律可速解此题.

 解 原不等式化为

 (x-3)(278-351×2+463)>0,

  即 39(x-3)>0,故x>3.

试题详情

6.巧去括号

 去括号一般是内到外,即按小、中、大括号的顺序进行,但有时反其道而行之即由外到内去括号往往能另辟捷径.

  

   

  

  

试题详情

5.巧用分数基本性质

  例5 解不等式

 

   

 约去公因数2后,两边的分母相同;②两个常数项移项合并得整数.

 

 

 例6 解不等式

 分析 由分数基本性质,将分母化为整数和去分母一次到位可避免繁琐的运算.

 解 原不等式为

 整理,得8x-3-25x+4<12-10x,

 

  思考:例5可这样解吗?请不妨试一试.

试题详情

4.逆用分数加减法法则

 

 解 原不等式化为

 

 

试题详情


同步练习册答案