题目列表(包括答案和解析)

 0  78698  78706  78712  78716  78722  78724  78728  78734  78736  78742  78748  78752  78754  78758  78764  78766  78772  78776  78778  78782  78784  78788  78790  78792  78793  78794  78796  78797  78798  78800  78802  78806  78808  78812  78814  78818  78824  78826  78832  78836  78838  78842  78848  78854  78856  78862  78866  78868  78874  78878  78884  78892  447348 

1、已知,且,则=      .

试题详情

30.已知正方形纸片的面积是32cm2,如果将这个正方形做成一个圆柱,请问这个圆柱底圆的半径是多少(保留3个有效数字)?

试题详情

29. 有一块面积为(2a + b)2π的图形木板,挖去一个圆后剩下的木板的面积是(2a - b)2π,问所挖去的圆的半径多少?

试题详情

15.下列说法正确的是(    ). 

   

(A) x≥1  (B)x>1且x≠-2 

(C) x≠-2  (D) x≥1且x≠-2

 (A)2x-4  (B)-2   (C)4-2x   (D)2

试题详情

7.在实数范围内分解因式 : a4-4 =____________.

试题详情

2.的平方根是_____________.

试题详情

1.4的平方根是_____________.

试题详情

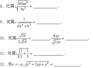
20.(8分)把下列各式化成最简二次根式:

;          ⑵

试题详情

19.(8分)把下列各式写成平方差的形式,再分解因式:

;              ⑵

;             ⑷

试题详情

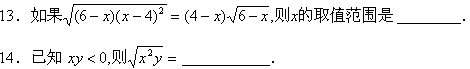
17.若成立,则x满足_____________________.

试题详情


同步练习册答案