0  125234  125242  125248  125252  125258  125260  125264  125270  125272  125278  125284  125288  125290  125294  125300  125302  125308  125312  125314  125318  125320  125324  125326  125328  125329  125330  125332  125333  125334  125336  125338  125342  125344  125348  125350  125354  125360  125362  125368  125372  125374  125378  125384  125390  125392  125398  125402  125404  125410  125414  125420  125428  447090 

22.如图所示,是2008北京残奥会开幕式最后一棒火炬手侯斌,靠自己双手的力量,攀爬到火炬台底部并最终点燃圣火的照片,该点火仪式充分体现了残疾人自强自立、拼搏向上的勇气和精神.已知他和轮椅总质量为80kg,攀爬高度39m,历时约3min20s.

(1)如果不计机械装置的额外功,求他的平均功率多大?

(2)小明同学看到火炬手攀爬很费劲,想到物理课上学过利用滑轮组可以省力.小明同学如果站在地面上,用如下图所示的哪个滑轮组拉起火炬手侯斌最合适,理由是什么?如果该滑轮组机械效率为80%,求小明同学的拉力至少要多大?(g取10N/kg)

试题详情

21.2009年1月1日9时整,江西首条湖底隧道开通.这条隧道西起阳明东路京九线隧道,东至国威路和上海北路交叉口,全长1965m,双向6车道,其中湖底暗埋段550m.在湖底隧道口有一交通标志牌如下图所示,交通标志牌上数字的含义是什么?在遵守交通规则的前提下, 一辆小车通过湖底暗埋段至少需要多少时间?

试题详情

20.小明同学学习了家庭电路的知识后,在生活中更加注意观察家用电器.

(1)如下图所示,他发现自己家洗衣机用的是三脚插头,其铭牌上标有“10A 250V”字样,其中的“10A”表示什么意思?

(2)小明同学仔细观察三只插脚,又有新的发现:标有“E”字的插脚比其它两脚稍长一些.他又查看了其它家用电器的三脚插头,也是这种情况.它比其它两脚稍长一些有什么好处?

试题详情

19.今年全球流行甲型H1N1流感,患上这一流感后第一症状就是发热,因此要用到体温计测量体温.如下图所示是体温计和实验室常用温度计,请简要说出它们在构造或使用上的三个不同点.

(1)                               

(2)                               

(3)                                

试题详情

18.如下图所示,下列实验仪器工作时,把电能转化为机械能的是          (   )

试题详情

17.“远征号”潜水艇从长江某基地赴东海执行任务过程中              (   )

A.潜水艇在海水中潜行时所受的浮力大于在江水中潜行时所受的浮力

B.潜水艇在海水中潜行时所受的浮力等于在江水中潜行时所受的浮力

C.潜水艇在海水中潜行时所受的重力小于在江水中潜行时所受的重力

D.潜水艇在海水中潜行时所受的重力等于在江水中潜行时所受的重力

试题详情

16.如下图所示,F为凸透镜的两个焦点,A'B'为物体AB的像,则物体AB在 (   )

A.图中Ⅰ区域,比AB'大,箭头方向向上

B.图中Ⅱ区域,比AB'大,箭头方向向下

C.图中Ⅲ区域,比AB'大,箭头方向向上

D.图中Ⅳ区域,比AB'小,箭头方向向下

试题详情

15.用螺丝固定工件时,要在螺帽下垫一个面积较大的垫圈,使用垫圈是为了     (   )

A.增大螺帽对工件的压强               B.减小螺帽对工件的压力

C.增大接触面的粗糙程度,防滑          D.增大工件受力面积,减小压强

试题详情

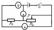
14.如下图所示,电源电压保持不变时,当滑动变阻器滑片P向右滑动过程中     (   )

A.电压表V示数变小                   B.电流表A1示数变大

C.电流表A2示数不变                  D.电流表A2示数变小

试题详情

13.如下图所示,其中与其它三个力所产生的作用效果不同的是          (   )

试题详情


同步练习册答案