0  164321  164329  164335  164339  164345  164347  164351  164357  164359  164365  164371  164375  164377  164381  164387  164389  164395  164399  164401  164405  164407  164411  164413  164415  164416  164417  164419  164420  164421  164423  164425  164429  164431  164435  164437  164441  164447  164449  164455  164459  164461  164465  164471  164477  164479  164485  164489  164491  164497  164501  164507  164515  447090 

5.直线截得的弦长最小值为                     (   )

    A.          B.          C.           D.

试题详情

4.直线的值为            (   )

    A.2             B.-2           C.           D.

试题详情

3.过点A(3,6)的直线与圆相切,则切线的方程为         (   )

    A.                         B.

    C.           D.

试题详情

2.点集所表示的平面区域的面积为           (   )

    A.2             B.4             C.          D.1

试题详情

1.过点的直线l将圆平分,则直线l的倾斜角为   (   )

    A.            B.          C.            D.

试题详情

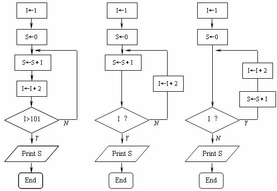
21.(15分)下面是关于某一算式的三个流程图:

 

(1)         (2)         (3)

(I)请根据流程图(1)指出其算法功能(用算式表示),并分别指出流程图(2)、(3)判断框中的条件;

(II)若分别交换三个流程图中S←S+I与I←I+2的位置,应如何调整各框中的条件,使其完成(I)中的算法功能?(不要重画流程图,只需说明修改方案)

22(16)将圆x2+y2=4上各点的纵坐标变为原来的一半(横坐标保持不变),得到曲线C.

⑴ 求曲线C的方程;

⑵ 设O为坐标原点,过点F(, 0)的直线l交曲线C于A、B两点,N为线段AB的中点,延长线段ON交曲线C于点E,求证:的充要条件是AB=3.

试题详情

19.(12分)一次口试,每位考生要在8道口试题中随机抽出2道题回答,若答对其中1题即为及格。

(1)现有某位考生会答8道题中的5道题,那么,这位考生及格的概率有多大?

(2)如果一位考生及格的概率小于50%,则他最多只会几道题?

20(13分)为了了解高一学生的体能情况,某校抽取部分学生进行一分钟跳绳次数次测试,将所得数据整理后,画出频率分布直方图(如图),图中从左到右各小长方形面积之比为2:4:17:15:9:3,第二小组频数为12.

(1)  第二小组的频率是多少?样本容量是多少?

(2)  若次数在110以上(含110次)为达标,试估计该学校全体高一学生的达标率是多少?

(3)  在这次测试中,学生跳绳次数的中位数落在哪个小组内?请说明理由。

试题详情

18、(12分)已知中心在原点的双曲线C的右焦点为(2,0),右顶点为

(1)求双曲线C的方程;

(2)若直线与双曲线C恒有两个不同的交点A和B,且(其中O为原点).求k的取值范围.

试题详情

17.(12分)已知的必要非充分条件,求实数的取值范围。

试题详情

16.若方程 所表示的曲线为C,给出下列四个命题:

①若C为椭圆,则1<t<4;    ②若C为双曲线,则t>4或t<1;

③曲线C不可能是圆;     ④若C表示椭圆,且长轴在x轴上,则.其中真命题的序号为         (把所有正确命题的序号都填在横线上)

试题详情


同步练习册答案