0  172358  172366  172372  172376  172382  172384  172388  172394  172396  172402  172408  172412  172414  172418  172424  172426  172432  172436  172438  172442  172444  172448  172450  172452  172453  172454  172456  172457  172458  172460  172462  172466  172468  172472  172474  172478  172484  172486  172492  172496  172498  172502  172508  172514  172516  172522  172526  172528  172534  172538  172544  172552  447090 

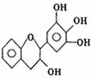
10.没食子儿茶素的结构简式如下,它是目前尚不能人工合成的纯天然、记效能的抗氧化剂。下列有关该物质的叙述正确的是(   )

1,3,5
 
   A.分子工为C15H12O5

   B.1mol该物质与4molNaOH恰好完全反应

   C.该物质在浓硫酸作用下可发生消去反应

   D.该物质可以和溴水发生取代反应和加成反应

试题详情

9.下列叙述不正确的是                          (   )

   A.含有金属阳离子的晶体不一定是离子晶体

   B.CO2和CH4都是由极性键构成的非极性分子

   C.HF、HC1、HBr、H1四种物质的沸点依次升高

   D.NaHSO4溶于水时既有离子键断裂又有共价键断裂

试题详情

8.如图所示,a、b是石墨电极,通电一段时间后,b极附近溶液显红色。下列说法正确的是        (   )

A.X极是电源负极,Y极是电源正极

B.Pt极上有6.4gCu析出时,b极产生2.24L(标准状况)气体

   C.电解过程中 CuSO4溶液的pH逐渐增大

   D.a极的电极反应式为:2C1--2e-=C12

试题详情

7.下列条件下两瓶气体所含原子数一定相等的是        (   )

   A.同质量、不同密度的N2和CO     B.同温度、同体积的H2和N2

    C.同压强、同密度的C2H4和C3H6     D.同压强、同体积的N2和CO2

试题详情

6.下列各组物质相互反应,无论哪种过量,都可用同一个离子方程式表示的是(   )

   A.偏铝酸钾溶液和盐酸        B.氨水和硝酸银溶液

   C.二氧化硫和氢氧化钠溶液      D.碳酸氢钠溶液和盐酸

试题详情

5.下列有关生活中的化学叙述正确的是            (   )

   A.双氧水可在医疗上作消毒杀菌剂

   B.提倡使用乙醇汽油主要是为了提高汽油的燃烧效率

   C.纤维素和蛋白质水解的最终产物均为葡萄糖

   D.变质的油脂难闻的特殊气味,是由于油脂发生了水解反应

试题详情

33.(8分)(化学一有机化学基础)

  有机化学反应因条件不同,可生成不同的有机产物。

  例如:

 

  请回答下列问题:

  (1)写出A1(或A2)可能的结构简式:___、____;

  (2)反应③、④所需要的条件是_____;

  (3)反应⑦的化学方程式为_____;

  (4)这种香料有多种同分异构体,写出2种均符合下列条件的有机物的结构简式:

   a.其水溶液遇溶液变紫色;

   b.分子中有苯环,且苯环上的一溴代物只有2种。

_________,_________。

试题详情

32.(8分)[化学-物质结构与性质)

   水是自然界中普遍存在的一种物质,试根据信息回答下列问题:

            

  (1)已知:的立体构型是____ ,中心原子的杂化类型是________

  (2)在中均含有的化学键是_________

   A.极性键   B.非极性键   C.配位键

  (3)S轨道与S轨道重叠形成的共价键可用符号表示为:,P轨道与P轨道以“头碰头”方式重叠形成的共价键可用符号表示为。则H2O分子中含有的共价键用符号表示为_______

  (4)在、1个大气压下,水可以结成冰,称为“热冰”。(如图)下列物质熔化时,所克服的微粒间的作用与“热冰”熔化时所克服的作用类型完全相同的是

   A.金刚石   B.干冰   C.食盐.  D.固态氨

试题详情

31.(8分)[化学-化学与技术)图示为工业合成氨简易流程图:

 

I.对于合成氨工业的设计原则,有人简单地用四个宇来概括:多、快、省、绿.请你仿照例子用化学术语来进行解释:

(1)多:尽可能使合成氨反应达到较高的反应限度.

(2)快:___________

    以上两点,在其中一个条件的设置上正好是两个相互矛盾的方面,综合考虑后   选择了一个“适宜”的条件,这个“适宜”的条件是____

(3)省:省钱!(从经济利益考虑)对该过程可以主要从上图中第____个过程来实现,该过程是通过提高____来“省钱”的。工业制硫酸中也有这个过程。另外,设置热交换器也可以对余热逆行回收利用,热交换器中两种气体的流向采用____原理。

(4)绿:符合环保精神,尽量减少或无工业三废废水、废气、废渣的排放。

  Ⅱ.合成氨所需的原料气制备,其中氮气的制备可以用(填一种方法)____,氢气的制备可以用甲烷与水蒸气在一定条件下反应,生成二氧化碳和氢气,则1m3甲烷理论上能生成氢气____L。原料气要进行彻底的净化,其主要目的是____

试题详情

30.(17分)短周期主族元素A、B、C、D、E的原子序数依次增大,它们的原子核外电子层数之和为10;B的化合物种类繁多,数目庞大。C、D是空气中含量最多的两种元素;D、E两单质可以生成两种不同的离子化合物。

  (1)写出E的单质与A、D两元素形成其常见化合物反应的离子方程式___________________

  (2)由A、C、D三元素所形成的常见盐溶液呈____ 性(填“酸”、“中”、“碱”),其原因用离子方程式表示为:__________________________________

  (3)B的相对分子质量最小的氢化物的燃烧热为890.3KJ/mo1,写出其燃烧的热化学方程

式___________________________________。

  (4)X、Y是均由C、D两元素组成的化合物,且C、D在X、Y中的价态相同,某温度下

   相互转化时的量变关系如右图:

               

   (I)X的化学式是___________

   (II)图中a、b、c、d四点中,表示反应处于平衡状态的是___________

   (III)该温度下,反应Y转化为X的平衡常数为___________

   (Ⅳ)反应进行到时刻,改变的条件可能是___________

[选做部分]

试题详情


同步练习册答案