0  172360  172368  172374  172378  172384  172386  172390  172396  172398  172404  172410  172414  172416  172420  172426  172428  172434  172438  172440  172444  172446  172450  172452  172454  172455  172456  172458  172459  172460  172462  172464  172468  172470  172474  172476  172480  172486  172488  172494  172498  172500  172504  172510  172516  172518  172524  172528  172530  172536  172540  172546  172554  447090 

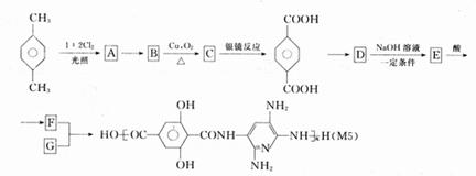
33.(8分)[化学--有机化学基础]  

M5纤维是美国开发的一种超高性能纤维,据报道,美国士兵佩带的头盔、防弹背心和刚性

前后防护板中含有M5纤维。M5纤维是刚杆形又有强力分子间氢键的聚合物。下面是M5纤维的合成线路:(有些反应未注明条件)

  请填写下列空白:

  (1)合成M5的单体的结构简式F._______________,G.___________________;

  (2)反应类型:A→B:________________;B→C:________________ :

  (3)在生成A的反应中,对二甲苯与氯气按物质的量之比1:2发生反应,生成A的同时   可能生成的A的同分异构体 _________________。(写结构简式);

  (4)写出化学反应方程式:C→对苯二甲酸:________________________-。

试题详情

32.(8分)[化学--物质结构与性质]

A、B、C、D分别代表四种不同的短周期元素。A元素的原子最外层电子排布为,B元素的原子价电子排布为,C元素的最外层电子数是其电子层数的3倍,D元素原子的M电子层的P亚层中有3个电子。

(1)C原子的电子排布式为_______,若A元素的原子最外层电子排布为,则按原子轨道的重迭方式,A与C形成的化合物中的共价键属于__________键。

(2)当n=2时,B的原子结构示意图为_______,B与C形成的晶体属于_______晶体。

  当n=3时,B与C形成的晶体中微粒间的作用力是_______________。

(3)若A元素的原子最外层电子排布为,B元素的原子价电子排布为,元素A在周期表中的位置是__________,A、B、C、D四种元素的第一电离能由大到小的顺序是 __________(用元素符号表示)。

试题详情

31.(8分)[化学--化学与技术]

氢氧化钠是一种用途十分广泛的重要化工原料。工业上主要通过电解氯化钠饱和溶液的方法获得氢氧化钠,我国的氯碱工业大多采用离子交换膜电解槽。

(1)离子交换膜电解槽一般采用金属钛作阳极,其原因是____________________________。

阴极一般用碳钢网制成。阳离子交换膜把电解槽隔成阴极室和阳极室,其作用是_______.

(2)为使电解氯化钠的速度加快,下列措施中,可行的是_____________________。

   A.增大阴极碳钢网面积     B.提高饱和氯化钠溶液的温度

   C.加大阴极与阳极间的距离   D.提高电解时的电源电压

(3)如果将某离子交换膜电解槽有关条件进行如下改变,则能使电解速率一定会达到原来的2倍的是____________。

 ①电解时的电压增大到原来的2倍

 ②电解时的电流增大到原来的2倍

 ③电解时的温度从30℃提高到60℃

试题详情

30.(15分)A、B、C、D、E、F六种物质的相互转化关系如下图所示(反应条件及部分产物未标出)。

(1)若A、D、F都是非金属单质,常温下,A、D为固体,D单质可作为半导体材料,F为气体,且A、D所含元素为同主族短周期元素,A、F所含元素同周期,则反应①的化学方程式是___________________________。  

(2)若A是常见的金属单质,D、F是气态单质,反应①在水溶液中进行,C的溶液为浅绿色,则反应②(在水溶液中进行)的离子方程式是:_____________________________;已知1gD与足量F在光照的条件下完全反应生成B时,放出92.3 kJ热量,试写出该反应的热化学方程式:_______________。工业上可用电解方法同时制得D和F,写出电解过程中阳极的电极反应式:________________________________________.

(3)若B、C、F都是气态单质,且B有毒呈黄绿色,反应③中有水生成,反应②需要放电才能发生,A、D相遇有白烟生成,则反应③的化学方程式是_________________。

(4)若A、B、D为有机物,B的相对分子质量比A大14,E、F为无机物单质,C为最常见的氧化物,通常状况下为液态,C能与乙烯在一定条件下发生加成反应生成A。则E的化学式为_______________,D的结构简式为______________,反应①属于__________反应,反应③的化学方程式为_______________

(选做部分)

试题详情

29.(13分)已知25℃时CH3COOH和NH3·H2O的电离平衡常数分别为

。现有常温下1 mol/L的醋酸溶液和1 mol/L的氨水,且知醋酸溶液的pH=a,试回答下列问题:

(1)醋酸溶液中存在的电离平衡用电离方程式表示为:____________,在同样条件下,该浓度的氨水的pH=__________(用含a的代数式表达)。

(2)将上述两种溶液等体积混合,所得溶液的pH=___________。

(3)饱和氯化铵溶液显酸性,原因是___________;向饱和氯化铵溶液中加入少量Mg(OH)2固体,固体完全溶解,合理的解释用相关离子方程式表示为______________________

(4)向Mg(OH)2悬浊液中加入适量CH3COONH4溶液,Mg(OH)2能否完全溶解________(填“能”或“否”),理由是____________________ 。

试题详情

28.(14分)某学校化学兴趣小组为探索金属回收物的综合利用,专门设计实验用含有铝、铁、铜的合金制取纯净的氯化铝溶液、绿矾晶体()和胆矾晶体(),其实验方案如下:

试回答下列问题:

(1)过滤用的玻璃仪器有_______________________。

(2)写出由沉淀Ⅱ转化为AlC13溶液的离子方程式_____________________。

(3)小组成员经过检测.发现制得的绿矾不纯,试分析原因___________________,要想由沉淀I最终制得纯度较高的绿矾,应如何改进_________________________

(4)小组成员从资料中获知H2O;是一种绿色氧化剂,在滤渣B中加入稀硫酸和H2O:来制备胆矾晶体,则该反应的总化学方程式为________________________________ 

(5)有同学提出可将方案中最初溶解合金的盐酸改用烧碱,重新设计方案,也能最终制得三种物质,你认为后者方案相对于前方案______(填“更合理”或“不合理”),理由是_____

试题详情

15.室温下,下列混合溶液中,各离子浓度的关系表示正确的是

   A.pH=12的氨水溶液与pH=2的盐酸溶液等体积混合

B.浓度均为0.1 mol/L的硫酸氢铵溶液和氢氧化钠溶液等体积混合

C.浓度均为0.1 mol/L的小苏打溶液和氢氧化钠溶液等体积混合

   D.浓度均为0.1 mol/L的醋酸溶液和氢氧化钠溶液等体积混合

    

第Ⅱ卷(必做120分十选做32分,共152分)

第Ⅱ卷共16个题。其中23-30题为必做部分,31-38题为选做部分,考生必须从中选择2个物理、1个化学和1个生物题作答。不按规定选做者,阅卷时将根据所选科目题号的先后顺序只判前面的2个物理题、1个化学题和1个生物题,其他作答的题目答案无效。

 (必做部分)

试题详情

14.下列表示式中,书写正确的是

   A.氢氧燃料电池的正极反应式:

   B.电解饱和食盐水的离子方程式:

   C. 298 K时,已知1 mol碳充分燃烧放出393.5 kJ热量,1 mo1CO充分燃烧放出283.0 kJ热量,则C(s,石墨)+

   D.氯化铵水解的离子方程式:

试题详情

13.元素甲、乙、丙、丁为四种主族元素,甲元素与乙、丙、丁三元素相邻,甲、乙的原子序数之和等于丙的原子序数;这四种元素原子的最外层电子数之和为20。下列判断中,正确的是

   A.原子半径:丙的>乙的>甲的>丁的

   B.气态氢化物的稳定性:甲的>丙的

   C.最高价氧化物对应的水化物的酸性:丁的>甲的

   D.乙和甲或乙和丁所能形成的化合物都是剧毒物质

试题详情

12.常温下在pH=3的溶液中,下列各组离子有可能大量共存的是

   A.      B.

   C.      D.

试题详情


同步练习册答案