0  245704  245712  245718  245722  245728  245730  245734  245740  245742  245748  245754  245758  245760  245764  245770  245772  245778  245782  245784  245788  245790  245794  245796  245798  245799  245800  245802  245803  245804  245806  245808  245812  245814  245818  245820  245824  245830  245832  245838  245842  245844  245848  245854  245860  245862  245868  245872  245874  245880  245884  245890  245898  447090 

3.与轴切于点,且在轴上截得弦长为10的圆方程是            

试题详情

2.有红、黄、蓝三种颜色的旗帜各3面,在每种颜色的3面旗帜上分别标上号码1、2和3.现任取3面,它们的颜色与号码均不相同的概率是    .

试题详情

1.将直线 绕其与轴的交点逆时针旋转后得到直线,则直线的方程是             

试题详情

25.(5分)现有一含少量SiO2杂质的石灰石样品,某实验小组同学为准确测定该样品的纯度,他们取用2.0g样品于烧杯中,把25.00mL某浓度的盐酸分成5等份,准备分别加入烧杯中进行反应,他们将前4次实验的结果记录如下:

次序
盐酸
剩余固体
1
先加入5.00mL
1.32g
2
再加入5.00mL
0.64g
3
再加入5.00mL
0.2g
4
再加入5.00mL
0.2g

(1)该实验小组同学是否还需要将第5份盐酸加入烧杯?          

(2)原样品的纯度(CaCO3的质量分数)是______________。

(3)求该实验小组同学所用盐酸的物质的量浓度。(要求写出计算过程)

               2009-2010学年“拼搏一年·成就梦想”

高三年级第一次摸底考试( 化学 )科试卷

试题详情

24.(6分)已知①氯水和溴水能将Fe2+氧化成Fe3+,而碘水不能;②Fe3+可以使KI-淀粉试液变蓝色。

(1)向100mlFeBr2溶液中通入标况下体积为3.36L的Cl2,充分反应后测得溶液中Cl-和Br-的物质的量浓度相等,则原FeBr2溶液的物质的量浓度为            

(2)向含1molFeI2和2molFeBr2的溶液中通入3molCl2后,溶液中所含各种离子的个数之比是          

(3)向含a mol FeI2和b mol FeBr2的溶液中通入c molCl2,若要保证溶液中含有两种阳离子,

c的取值范围是             

试题详情

23.(15分)某无色溶液中可能含有NH4+、K+、Al3+、HCO3-、Cl-、MnO4-、SO42-等离子中的几种离子。

①经实验可知溶液明显呈酸性,且焰色反应呈现出紫色。

②取10mL该溶液于试管中滴加Ba(NO3)2溶液,加稀硝酸酸化后过滤得到0.03mol白色沉淀,向滤液中加入AgNO3溶液未见沉淀产生。

③另取少量该溶液于试管中,滴加NaOH溶液产生白色沉淀,当沉淀增加到一定量后开始产生气体,最后沉淀完全溶解。

(1)该溶液中一定不含有             (填离子的化学式)离子,一定含有的离子有             (填离子的化学式);

(2)在这些不存在的离子中,有一种离子在酸性环境中和碱性环境中都不能存在,试写出该离子与酸反应的离子方程式:                        

(3)为确定上述溶液中所含的各种离子的物质的量,取100mL上述溶液并向其中加入Na2O2固体,产生的沉淀和气体与所加Na2O2固体物质的量的关系曲线如图Ⅰ:

①该溶液中焰色反应呈现紫色的离子的物质的量为:          mol,

②写出n(Na2O2)=0.2mol时反应的总离子方程式:                  

(4)将0.1mol明矾晶体与等物质的量的某无水盐晶体X混合后溶解于水中,所得溶液与上述溶液所含离子种类完全相同。若向该溶液中加入Ba(OH)2溶液,所得沉淀的物质的量与所加入Ba(OH)2的物质的量的关系如图Ⅱ:

试根据图像推断①X的化学式:          ,②图像中A点溶液中的离子成分和物质的量分别是:           

试题详情

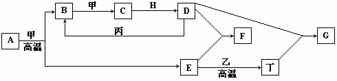
22.(12分)几种中学化学常见的单质及其化合物相互转化的关系图如下:

可供参考的信息有:

①甲、乙、丙、丁为单质,其余为化合物。

②A由X和Y两种元素组成,其原子个数比为1:2,元素质量之比为7:8。

③B气体是引起酸雨的主要物质,H常温下为无色无味的液体,E常用作红色油漆和涂料。

试根据上述信息回答下列问题:

(1)A的化学式为      ,每反应1mol的A转移的电子数为       mol;

(2)F与丁单质也可以化合生成G,试写出该反应的离子方程式:            

(3)少量F的饱和溶液与分别滴加到下列物质中,得到三种分散系①、②、③。

  试将①、②、③填入下列方框中:

(4)化合物M与H组成元素相同,可以将G氧化为F,且不引进新的离子。试写出M在酸性环境下将G氧化为F的离子方程式:               

(5)已知丙单质与D的浓溶液按物质的量为1:2恰好反应生成B气体的化学转化式为:

      丙 + D(浓)B↑+ 丙的氧化产物 + 水

则丙在其氧化产物中的化合价为:                

试题详情

21.(12分)某校化学实验兴趣小组为了探究在实验室制备Cl2的过程中有水蒸气HCl挥发出来,同时证明氯气的某些性质,设计了如下图所示的实验装置,试按要求回答问题。

(1)写出装置A中反应的离子方程式_______________________________________;

(2)①装置B中盛放的试剂名称为      ,装置C的作用是          

   ②装置D和E中出现的不同现象说明的问题是                

(3)F装置的作用是                

(4)若装置G中出现白色沉淀,该实验现象能否说明A中制备出的Cl2中含有HCl气体

         (填“能”或“不能”)。

试题详情

20.在一密闭容器中加入xmol的Na2O2和ymol的NaHCO3固体充分加热,下列有关加热后容器中残留固体成分和导出气体成分的说法正确的是

A.若x=y,气体中只含有0.5x molO2,固体中含有2y molNa2CO3和y molNaOH

B.若0.5y<x<y,气体中含有0.5y molH2O,固体中含有y molNaOH和y molNa2CO3

C.若0.5y=x,气体中有0.5x molO2,固体中有y molNaOH和y molNa2CO3

D.若x<0.5y,气体中含有(0.5y-x)molCO2,固体中含有(x+0.5y)molNa2CO3

第Ⅱ卷(非选择题  共50分)

试题详情

19.将11.2g的Mg-Cu混合物完全溶解于足量的硝酸中,收集反应产生的x气体。再向所得溶液中加入过量的NaOH溶液,产生21.4g沉淀。根据题意推断气体x的成分可能是

  A.0.3molNO2                B.0.2molNO2和0.1molN2O4

C.0.1molNO、0.2molNO2和0.05molN2O4    D.0.6molNO

试题详情


同步练习册答案