0  246650  246658  246664  246668  246674  246676  246680  246686  246688  246694  246700  246704  246706  246710  246716  246718  246724  246728  246730  246734  246736  246740  246742  246744  246745  246746  246748  246749  246750  246752  246754  246758  246760  246764  246766  246770  246776  246778  246784  246788  246790  246794  246800  246806  246808  246814  246818  246820  246826  246830  246836  246844  447090 

15、(闸北二)食品香精菠萝酯的生产路线(反应条件略去)如下:

下列叙述错误的是

A.苯氧乙酸和菠萝酯均可与NaOH溶液发生反应

B.苯酚和菠萝酯均可发生氧化反应

C.步骤(1)产物中残留的苯酚可用FeCl3溶液检验

D.步骤(2)产物中残留的烯丙醇可用溴水检验

试题详情

9.(松江二)茉莉醛具有浓郁的茉莉花香,结构简式如图所示。下列关于茉莉醛的叙述正确的是(   )

A.茉莉醛与苯甲醛互为同系物

B.茉莉醛分子中最多有10个碳原子位于同一平面

C.茉莉醛能使高锰酸钾溶液、溴水褪色

D.在一定条件下,lmol茉莉醛最多能与4 mol氢气加成

试题详情

20、(南汇二)乙酰水杨酸又名阿斯匹林(Aspirin)具有退热、镇痛作用,常用于治疗伤风、感冒、头痛、神经痛及风湿性关节痛,近年来又用于防治老年性心血管病,但患有消化道溃疡的人不宜服用。对此化合物不正确的说法是         

   A.该化合物具有酸性,能与NaOH或NaHCO3反应,但不能与稀盐酸作用

   B.1 mol该化合物与足量的NaOH溶液反应,消耗NaOH最大的物质的量为3 mol

   C.该物质一定是由水杨酸()和乙酸直接通过酯化反应合成

   D.纯净的Aspirin不能与FeCl3溶液反应,但它的水解产物能使FeCl3溶液显色

试题详情

12. (普陀二) 天然维生素P(结构如图)存在于槐树花蕾中,它是一种营养增补剂。有关天然维生素P的叙述正确的是

A.天然维生素P易溶于水   

B.1 mol天然维生素P最多能与6molBr2发生反应

C.1 mol天然维生素P最多能与7 mol H2发生加成反应

D.天然维生素P能发生加成反应、取代反应、水解反应

试题详情

21.(浦东二)绿茶中含有的物质EGCG具有抗癌作用,能使癌细胞自杀性死亡,其结构如右图。下列有关EGCG的说法中正确的是(   )

A.EGCG易被氧化

B.EGCG的分子式为C22H16O11

C.1mol EGCG最多能与10mol氢气发生加成反应

D.1mol EGCG最多能与含9mol氢氧化钠的溶液发生反应

试题详情

7. (奉贤二)奥运吉祥物福娃外材为纯羊毛线,内充物为无毒的聚酯纤维:

下列说法不正确的是

A.羊毛与聚酯纤维的化学成分不相同  

B.由单体合成聚酯纤维的反应属加聚反应

C.该聚酯纤维单体为对苯二甲酸和乙二醇

 D.聚酯纤维和羊毛一定条件下均能水解

试题详情

12. (市调研)香豆素-4由C、H、O三种元素组成,分子球棍模型如下图所示。下列有关叙述错误的是(  )

    A. 分子式为C10H9O3               B. 能发生水解反应

    C. 能使酸性KMnO4溶液褪色         

D. 1 mol香豆素-4最多消耗3 mol NaOH

试题详情

20.(浦东一儿茶素是一种重要的茶多酚,其结构如图:下列有关儿茶素的说法错误的是(   )

  A.分子式为C15H14O6

  B.分子结构中含有6个碳碳双键

  C.1mol儿茶素与溴水反应最多可消耗5mol Br2

  D.1mol儿茶素与氢氧化钠溶液反应最多可消耗5mol NaOH

试题详情

15.(奉贤一) “魔棒”发光原理是利用过氧化氢氧化草酸二酯产生能量,该能量被传递给荧光物质后便发出荧光,草酸二酯(CPPO)结构简式如图所示。下列说法正确的是

  A、草酸二酯属于芳香烃

  B、草酸二酯属于高分子化合物

  C、1mol草酸二酯与氢氧化钠稀溶液反应(苯环上卤素不水解),      最多消耗6mol NaOH

D、1mol草酸二酯与氢气完全反应,需要氢气10mol

试题详情

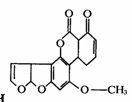
12.(嘉定一)霉变的大米、花生中含有黄曲霉素,黄曲霉素结构如图所示。下列说法中不正确的是(    )

  A.霉变的大米、花生等绝对不能食用

  B.黄曲霉素属于芳香烃

  C.该化合物能与H2发生加成反应

  D.1 mol 该化合物与 NaOH 溶液反应,最多消耗 2 mol NaOH

试题详情


同步练习册答案