0  250416  250424  250430  250434  250440  250442  250446  250452  250454  250460  250466  250470  250472  250476  250482  250484  250490  250494  250496  250500  250502  250506  250508  250510  250511  250512  250514  250515  250516  250518  250520  250524  250526  250530  250532  250536  250542  250544  250550  250554  250556  250560  250566  250572  250574  250580  250584  250586  250592  250596  250602  250610  447090 

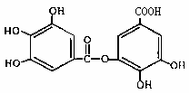
21、(8分)四川盛产五倍子。以五倍子为原料可制得化合物A。A的结构简式如右图所示:

请解答下列各题

⑴A的分子式是          

(2)有机化合物B在硫酸催化条件下加热发生酯化反应可得到A。请写出B的结构简式:                  

(3)请写出A与过量氢氧化钠溶液反应的化学方程式:        

(4)有机化合物C是合成治疗禽流感药物的原料之一。C可以看成是B与氢气按物质的量之比1 :2发生加成反应得到的产物。C分子中无羟基与碳碳双键直接相连的结构,它能与溴水反应使溴水褪色。请写出C与溴水反应的

化学方程式:                     

试题详情

20、(3分)KClO3和浓盐酸在一定温度下反应会生成绿黄色的易爆物二氧化氯。

(1)请完成该化学方程式并配平               

(2)浓盐酸在反应中显示出来的性质是_______(填写编号,多选倒扣)。

①只有还原性     ②还原性和酸性

③只有氧化性     ④氧化性和酸性

(3)产生0.1molCl2,则转移的电子的物质的是为_________mol.

试题详情

19、(10分)短周期元素Q、R、T、W在元素周期表中的位置如右图所示,期中T所处的周期序数与主族序数相等,请回答下列问题:

(1)T的原子结构示意图为_______.

(2)元素的非金属性为(原子的得电子能力):Q______W(填“强于”或“弱于”)。

(3)  W的单质与其最高价氧化物的水化物浓溶液共热能发生反应,生成两种物质,其中一种是气体,反应的化学方程式为_____          .

(4)原子序数比R多1的元素的一种氢化物能分解为它的另一种氢化物,此分解反应的化学方程式是_________  _      .

(5)R有多种氧化物,其中甲的相对分子质量最小。在一定条件下,2L的甲气体与0.5L的氧气相混合,若该混合气体被足量的NaOH溶液完全吸收后没有气体残留,所生成的R的含氧酸盐的化学式是__________      

(6)在298K下,Q、T的单质各1mol完全燃烧,分别放出热量aKJ和bKJ。又知一定条件下,T的单质能将Q从它的最高价氧化物中置换出来,若此置换反应生成3molQ的单质,则该反应在298K下的ΔH =________      (注:题中所设单质均为最稳定单质)

试题详情

18、在一定条件下,RO3n和氟气可发生如下反应:RO3n+F2+2OH   RO4+2F+H2O。从而可知在RO3n中,元素R的化合价是   (   )

   A.+4     B.+5    C.+6      D.+7

第Ⅱ卷   非选择题

试题详情

17、已知在酸性溶液中,下列物质氧化KI时,自身发生如下变化:

  Fe3+ → Fe2+    MnO4-  →  Mn2+    Cl2  →  Cl-    HNO2 → NO

如果分别用等物质的量的这些物质氧化足量的KI,得到I2最多的是

   A、Fe3+      B、MnO4-      C、Cl2       D、HNO2

试题详情

16、某烷烃发生氯代反应后,只能生成三种沸点不同的一氯代烃,此烷烃是

A、(CH3)2CHCH2CH2CH3       B、(CH3CH2)2CHCH3

C、(CH3)2CHCH(CH3)2        D、(CH3)3CCH2CH3

试题详情

15、将足量稀盐酸加到下列固体混合物中,只能发生一种反应的是

A  Mg、AlCl3、NaAlO2    B  KNO3、NaCl、CH3COONa

C  NaClO、Na2SO3、BaCl2   D  Ba(NO3)2、FeSO4、NH4HCO3

试题详情

14、密度为的氨水,其溶质的质量分数为0.25,该氨水用等体积的水稀释后,所得氨水的质量分数为

A.等于12.5%  B.大于12.5%   C.小于12.5%  D.无法确定

试题详情

13、1mol过氧化钠与2mol碳酸氢钠固体混合后,在密闭的容器中加热充分反应,排出气体物质后冷却,残留的固体物质是(  )

A.Na2CO3    B.Na2O2 Na2CO3

C.NaOH Na2CO3   D.Na2O2 NaOH Na2CO3

试题详情

12、25 ℃,101 k Pa时,强酸与强碱的稀溶液发生中和反应的中和热为57.3 kJ/mol,辛烷的燃烧热为5518 kJ/mol。下列热化学方程式书写正确的是

A.2H+(aq) +SO42- (aq)+Ba2+ (aq)+2OH(aq)=BaSO4(s)+2H2O(1);H=57.3 kJ/mol

B.KOH(aq)+H2 SO4(aq)= K2SO4(aq)+H2O(l); H=57.3kJ/mol

C.C8H18(l)+  O2 (g)=8CO2 (g)+ 9H2O(g); H=5518 kJ/mol

D.2C8H18(g)+25O2 (g)=16CO2 (g)+18H2O(1); H=5518 kJ/mol

试题详情


同步练习册答案