0  250483  250491  250497  250501  250507  250509  250513  250519  250521  250527  250533  250537  250539  250543  250549  250551  250557  250561  250563  250567  250569  250573  250575  250577  250578  250579  250581  250582  250583  250585  250587  250591  250593  250597  250599  250603  250609  250611  250617  250621  250623  250627  250633  250639  250641  250647  250651  250653  250659  250663  250669  250677  447090 

2.( 湖北黄石二中09高三化学检测)下列离子方程式正确的是                 (    )

A.甘氨酸与氢氧化钠溶液反应:

B.高级脂肪酸与氢氧化钠溶液反应:H++OH=H2O

C.乙醇与浓氢溴酸反应:CH3CH2OH + H+ → CH3CH2- +H2O

D.乙酸乙酯与氢氧化钠溶液反应:CH3COOC2H5+OH → CH3COOH+ C2H5O-

答案 A

试题详情

1.( 湖北黄石二中09高三化学检测)生活中常常碰到涉及化学知识的某些问题,下列叙述正确的是  (   )

   ①人的皮肤在强紫外线的照射下将会失去生理活性 ②用甲醛溶液浸泡海产品保鲜

   ③变质的油脂有难闻的特殊气味,是由于油脂发生了水解反应

   ④棉花和木材的主要成分都是纤维素,蚕丝和蜘蛛丝的主要成分都是蛋白质

   ⑤蜂蚁叮咬人的皮肤时将分泌物甲酸注入人体,此时可在患处涂抹小苏打或稀氨水

   A.①④⑤      B.②③④     C.①②④⑤     D.全部

答案 A

试题详情

2009年联考题

试题详情

5.(’07广东7)下列说法正确的是                               (   )

A.石油裂解可以得到氯乙烯

B.油脂水解可得到氨基酸和甘油 

C.所有烷烃和蛋白质中都存在碳碳单键 

D.淀粉和纤维素的组成都是(C6H10O5)n?,水解最终产物都是葡萄糖

答案  D

解析  石油裂解可得到乙烯,不能得到氯乙烯,A错;油脂不含氮元素,不可能得到氨基酸,B错;烷烃中的甲烷不含碳碳单键,C错。 

试题详情

4.(’07上海3)下列有关葡萄糖的说法错误的是                         (   )

A.葡萄糖的分子式是C6H12O6                        B.葡萄糖能发生银镜反应

C.葡萄糖是人体重要的能量来源            D.葡萄糖属于高分子化合物

答案  D

解析  葡萄糖的分子式为C6H12O6,其分子中含有醛基,可发生银镜反应,它在人体中的转化可为人体活动提供能量,它的相对分子质量为180,不属于高分子化合物。

试题详情

3.(’07上海理综12)人剧烈运动,骨骼肌组织会供氧不足,导致葡萄糖无氧氧化,产生大量酸性物质(分子式为C3H6O3),如果该物质过度堆积于腿部,会引起肌肉酸痛。体现该物质酸性的基团是        (   )

A.羟基           B.甲基          C.乙基          D.羧基

答案  D

解析  从题干中“产生大量酸性物质”来看体现该物质酸性的为羧基。

试题详情

2.(’08广东理基23)有关天然产物水解的叙述不正确的是                    (   )

A.油脂水解可得到丙三醇

B.可用碘检验淀粉水解是否完全

C.蛋白质水解的最终产物均为氨基酸

D.纤维素水解与淀粉水解得到的最终产物不同

答案  D

解析  天然油脂水解产物在酸性条件下为丙三醇和高级脂肪酸,在碱性条件下为丙三醇和高级脂肪酸钠;因为碘遇淀粉变蓝,所以用碘来检验淀粉是否水解完全;天然蛋白质水解最终产物为α-氨基酸;纤维素和淀粉水解的最终产物皆为葡萄糖,因此A、B、C正确,D错误。

试题详情

1.(’08广东3)下列涉及有机物的性质或应用的说法不正确的是                  (   )

A.干馏煤可以得到甲烷、苯和氨等重要化工原料

B.用于奥运“祥云”火炬的丙烷是一种清洁燃料

C.用大米酿的酒在一定条件下密封保存,时间越长越香醇

D.纤维素、蔗糖、葡萄糖和脂肪在一定条件下都可发生水解反应

  答案  A

试题详情

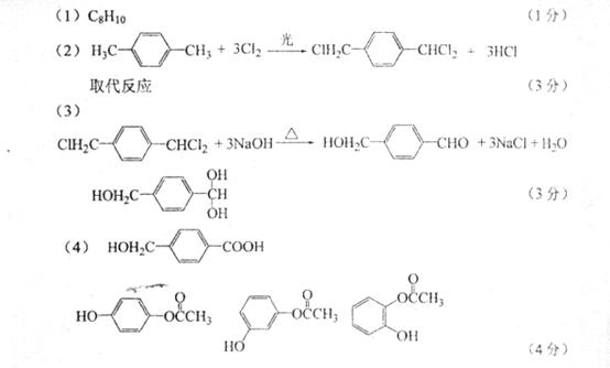
9.(09海南卷18-4)以下是某课题组设计的合成聚酯类高分子材料 

  的路线:

 

已知:

①A的相对分子质量小于110,其中碳的质量分数约为0.9;

   ②同一碳原子上连两个羟基时结构不稳定,易脱水生成醛或酮:

   ③C可发生银镜反应。

   请根据以上信息回答下列问题:

   (1)A的分子式为          

   (2)由A生成B的化学方程式为      ,反应类型是        

   (3)由B生成C的化学方程式为     ,该反应过程中生成的不稳定中间体的结构简式应是           

   (4)D的结构简式为        ,D的同分异构体中含有苯环且水解产物之一为 乙酸的有     

           (写结构简式)。

答案

2005-2008年高考题

试题详情

8.(09重庆卷28) 星形聚合物SPLA可经下列反应路线得到(部分反应条件未注明)。

(1)淀粉是       糖(填“单”或“多”);A的名称是    

(2)乙醛由不饱和烃制备的方法之一是             (用化学方程式表示,可多步)。

(3)DE的化学反应类型属于      反应;D结构中有3个相同的基团,且1molD能与2mol

Ag(NH3)2OH反应,则D的结构简式是    ;D与银氨溶液反应的化学方程式为

              

(4)B的直链同分异构体G的分子中不含甲基,G既不能与NaHCO3溶液反应,又不能与新制Cu(OH)2反应,且1molG与足量Na反应生成1mol H2,则G的结构简式为   

(5)B有多种脱水产物,其中两种产物的结构简式为       

答案

解析 (1)由框图可以知道淀粉水解成A,A是葡萄糖,A转化为乳酸B,根据所学知识知道淀粉是一种多糖。(2)乙醛的制备方法较多,可以用乙烯水化法转化为乙醇,乙醇氧化成乙醛,或用乙炔与水发生加成反应也可,此题方法较多。(3)由D、E的化学式可以看出E比D多2个H原子,加氢叫还原,加氢也是加成反应,1molD能与2molAg(NH3)2OH反应,说明1molD中有1mol-CHO,D结构中有3个相同的基团,经分析相同的3个基团为-(CH2OH),分子式C5H10O4就剩下一个-C,D的结构简式,D与银氨溶液反应的化学方程式为:

(4)B的直链同分异构体G的分子中不含甲基,G既不能与NaHCO3溶液反应,又不能与新制Cu(OH)2反应,且1molG与足量Na反应生成1mol H2,G中无-COOH,无-CHO,1molG中有2mol-OH,即可得G的结构简式为:

(5)B是乳酸,由其官能团的反应机理即可得到答案。

试题详情


同步练习册答案