0  254081  254089  254095  254099  254105  254107  254111  254117  254119  254125  254131  254135  254137  254141  254147  254149  254155  254159  254161  254165  254167  254171  254173  254175  254176  254177  254179  254180  254181  254183  254185  254189  254191  254195  254197  254201  254207  254209  254215  254219  254221  254225  254231  254237  254239  254245  254249  254251  254257  254261  254267  254275  447090 

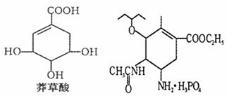
10.达菲是治疗甲型H1N1流感的有效药物之一。合成达菲的原料是莽草酸,已知莽草酸和达菲的结构简式如下图所示,则有关说法中不正确的是:

A.1 mol莽草酸与足量金属钠反应最多可生成2 mol氢气

B.达菲既可催化加氢,又可使酸性KMnO4溶液褪色

C.达菲既可发生水解反应,又可与Br2的CCl4溶液发生加成反应

D.莽草酸既可与FeCl3溶液发生显色反应,又可与NaHCO3溶液反应放出CO2

试题详情

9.关于元素周期表和元素周期律的说法中正确的是:

A.第ⅠA族元素的金属性一定比第ⅡA族的强

B.F、Na+、Mg2+、Al3+的离子半径依次增大

C.第ⅥA族元素的氢化物中,稳定性最强的其沸点最低

D.按照元素周期表的排布规律,非金属元素最多为23种

试题详情

8.设NA为阿伏加德罗常数,下列说法中不正确的是:

A.20 gD2O中含有的中子数为10NA  

B.3 g甲醛中含有的共价键数为0.4NA

C.14 g乙烯和丙烯的混合物中含有的原子总数为2NA

D.含NA个阳离子的CaC2固体投入足量水中,产生的乙炔为22.4L(标准状况)

试题详情

7.下列关于化学键和物质结构的说法中正确的是:

A.干冰和水晶熔化时,所克服的作用力相同

B.原子晶体氮化硅制成的陶瓷具有熔点高、硬度大等特点

C.由非金属元素组成的化合物一定是共价化合物

D.不同元素组成的多原子分子里的化学键一定是极性键

试题详情

6.某无色溶液中加入铝粉有氢气放出,则在该溶液中可能大量共存的离子组是:

A.K+、OH     B.Fe3+、Ba2+、H+、I

C.H+、Cl      D.Na+、Al3+

试题详情

5、某生物的三对等位基因(Aa、Bb、Cc)分别位于三对同源染色体上,且基因A、b、C分别控制①②③三种酶的合成,在三种酶的催化下可使一种无色物质经一系列转化变为黑色素。假设该生物体内黑色素的合成必须由无色物质转化而来,如右图所示:现有基因型为AaBbCc的两个亲本杂交,出现黑色子代的概率为:

A. 1/64     B.8/64     C.9/64     D.27/64

试题详情

4、现代生物技术中常常用到“筛选”方法。下列筛选能成功的是: 

①在无N培养基上能筛选出根瘤菌

②利用加有抗生素的培养基,能把混在细菌中的酵母菌筛选出来

③利用病菌侵染方法,能筛选出转基因抗病植物新品种

④设置浓度梯度不同的含盐培养液培养农作物,可筛选出耐盐植物

A、①③④      B、②③④      C、①②③     D、①④

试题详情

3、下图表示植物生长单位长度所需时间与生长素浓度的关系,正确的是: 

A.在单侧光作用下,若胚芽鞘生长素浓度向光侧为a,则背光侧为b

B.将植物体水平放置,若根部生长素浓度近地侧为c,则远地侧为d

C.若曲线I表示生长素对植物茎的作用,则曲线II表示对根的作用

D.若曲线I表示生长素对双子叶杂草的作用,则曲线II表示对单子叶作物的作用

试题详情

2、下列实验中,必须用显微镜观察且叙述完全正确的一项是: 

 
实验材料
主要试剂
观察内容
A
浸泡过的花生种子
清水、苏丹IV、50%酒精
红色脂肪颗粒
B
黑藻叶片
2mol/L的氯化钠溶液
细胞质流动
C
紫色洋葱鳞片叶
解离液、龙胆紫染液、清水
染色体形态和数目
D
绿色菠菜叶片
丙酮、层析液、SiO2、CaCO3
四条色素带

试题详情

1、2007年10月6日,美国女飞人琼斯在一封写给家人和朋友的信中,首次承认自己在2000年悉尼奥运会前服用了类固醇类兴奋剂。在悉尼奥运会上,琼斯获得了女子100米、200米、4×100米接力三枚金牌。下列有关于类固醇的叙述正确的是: 

A.类固醇在体内的合成与内质网有关

B.是一种兴奋性神经递质,使突触后膜持久兴奋

C.是一种高效的ATP水解酶,使肌肉细胞中的ATP快速水解释能量

D.是一种高效的ATP合成酶,使肌肉细胞中的ATP快速合成

试题详情


同步练习册答案