0  257401  257409  257415  257419  257425  257427  257431  257437  257439  257445  257451  257455  257457  257461  257467  257469  257475  257479  257481  257485  257487  257491  257493  257495  257496  257497  257499  257500  257501  257503  257505  257509  257511  257515  257517  257521  257527  257529  257535  257539  257541  257545  257551  257557  257559  257565  257569  257571  257577  257581  257587  257595  447090 

8. 处的导数值是    .

试题详情

7. 的值为    .

试题详情

6.已知,函数,若,则    .

试题详情

5.已知,则   .

试题详情

4.已知函数上是增函数,则实数的取值范围

    .     

试题详情

3.命题“”的否定是    .

试题详情

2. 已知全集,若集合

    .

试题详情

1.为虚数单位,计算    .

试题详情

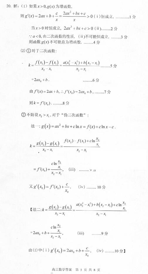
20. 已知二次函数和“伪二次函数” (),

(1)证明:只要,无论取何值,函数在定义域内不可能总为增函数;

(2)在同一函数图像上任意取不同两点,线段中点为,记直线的斜率为

1对于二次函数,求证:

2对于“伪二次函数”,是否有1同样的性质?证明你的结论.

试题详情

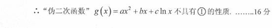
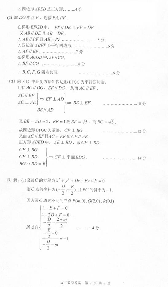
19.(本小题满分16分)        

已知函数的图像经过点.

(1)求该函数的解析式;

(2)数列中,若为数列的前项和,且满足

证明数列成等差数列,并求数列的通项公式;

(3)另有一新数列,若将数列中的所有项按每一行比上一行多一项的规则排成

如下数表:

           

                …………

记表中的第一列数构成的数列即为数列,上表中,若从第三行起,每一行中的数按从左到右的顺序均构成等比数列,且公比为同一个正数.当

时,求上表中第行所有项的和.

试题详情


同步练习册答案