0  259391  259399  259405  259409  259415  259417  259421  259427  259429  259435  259441  259445  259447  259451  259457  259459  259465  259469  259471  259475  259477  259481  259483  259485  259486  259487  259489  259490  259491  259493  259495  259499  259501  259505  259507  259511  259517  259519  259525  259529  259531  259535  259541  259547  259549  259555  259559  259561  259567  259571  259577  259585  447090 

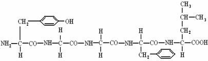
43.(6分)我国中科院上海生化所合成了一种具有镇痛作用而不会像吗啡那样使病人上瘾的药物,药物的合成是采用的蛋白质工程技术,这是在生物发展分子水平上的又一突破。下面是它的结构简式。据此化合物的结构分析回答:

(1)该化合物中有   种氨基酸构成,图中氨基酸种类不同,是因为   基团不同。

(2)形成该化合物的反应叫做       。反应在      (细胞器)上进行。

(3)该化合物称    肽。水解时被破坏的化学键为        (写化学式)。

试题详情

42.(10分)基因兴奋剂是指通过改良遗传学成分来使机体产生更多激素、蛋白质或其他天然物质,从而增进运动能力。基因兴奋剂是随着基因治疗技术的发展而诞生的,它与普通基因治疗的不同在于将服务对象从患者转移到了健康的职业运动员。

科学家发现一种AGTN3的基因,其等位基因R能提高运动员的短跑成绩,其另一等位基因E则能提高运动员的长跑成绩。请回答下列问题:

(1)基因AGTN3变成基因R或E的现象在遗传学上称为          ,该现象发生的本质原因是DNA分子发生了                    

(2)若一个家庭中,父母都具有E基因,善长跑;一个儿子也具有E基因,善长跑;但另一个儿子因不具有E基因而不善长跑。据孟德尔理论,这种现象在遗传学上称为        。并由此可见,E基因对AGTN3基因为     (显性或隐性)。

(3)据达尔文的自然选择学说,多狮豹的非洲某部落中    基因出现后的比例会加大,基因E在该种群中的比例叫做          

(4)基因通过控制蛋白质的合成来控制人的各种性状。基因R控制人体有关蛋白质的合成过程包括          两个阶段。参与该过程的核酸共含有    种核苷酸。

(5)科学家把运动员注入的能改善运动员各种运动能力和耐力的基因称为基因兴奋剂。并预言,随着转基因技术的提高,在以后的奥运会上将出现使用基因兴奋剂这种最隐蔽的作弊行为。这是因为注入的基因存在于运动员的

A.血液中    B.肌肉中     C.心脏中     D.小脑中

(6) 若一对夫妇因注射了R基因都提高了短跑成绩,则他们在这以后所生子女具有R基因的概率为

A.100%    B.75%     C.25%     D.0

试题详情

41.(9分)下图是动物不同细胞分裂阶段的图像,请据图回答:

(1)图像中表示动物的体细胞的有    ,表示初级精母细胞的有       ,表示次级精母细胞的有       

(2)图A中的细胞有    条染色体,   条染色单体,    个DNA分子。

(3)图B中有    个四分体,该图与图A、图C若表示同一细胞的不同分裂时期,则三图表示细胞分裂的正确顺序是         

(4)以染色体组合种类为标准,具有图B表示的那种细胞的动物,其减数分裂能生成__________种类型的精子(或卵细胞)。

试题详情

40.下图为利用纯合高秆(D)抗病(E)小麦和纯合矮秆(d)染病(e)小麦快速培育纯合优良小麦品种矮秆抗病小麦(ddEE)的示意图,有关此图叙述不正确的是

A.图中进行①过程的主要目的是让控制不同优良性状的基因组合到一起

B.②过程中发生了非同源染色体的自由组合

C.实施③过程依据的主要生物学原理是细胞增殖

D.④过程的实施中通常用一定浓度的秋水仙素

第Ⅱ卷(非选择题共60分)

试题详情

39.据了解,野生扬子鳄种群的雌雄比例一般稳定在5︰1左右,这样的性别比是由孵化时的温度所决定的;繁殖季节雄性扬子鳄发出“轰”、“轰”的声音,雌性扬子鳄则根据声音大小选择巢穴位置。当声音大时,雌鳄选择将巢穴筑于山凹浓荫潮湿温度较低处,则产生较多的雌鳄。以上事实说明生态系统中信息传递

   A.能够调节生物种间关系,以维持生态系统的稳定

   B.影响生物种群的繁衍,维持种群数量的稳定

   C.维持生物体正常生命活动,调节生物内环境的稳态

   D.对生物进行自然选择,促进生物进化

试题详情

38.下图表示某种兔迁入新的环境后种群增长速率随时间的变化曲线。第3年时用标志重捕法调查该兔种群的密度,第一次捕获50只全部标志后释放,一个月后进行第二次捕捉,共捕获未标志的60只,标志的20只。若环境保

持不变,预测在第5年时最接近该兔种群数量的是

A.小于150只

B.大约200只

C.等于300只

D.大约400只

试题详情

37.下列调查活动或实验中,计算所得数值与实际数值相比,可能偏小的是

A.标志重捕法调查褐家鼠种群密度时标志物脱落

B.调查某遗传病的发病率时以患者家系为调查对象

C.样方法调查蒲公英种群密度时在分布较稀疏的地区取样

D.用血球计数板计数酵母菌数量时统计方格内和在相邻两边上的菌体

试题详情

36.据《兰州晨报》报道,备受国内外关注的普氏野马(普氏野马是经历了6000万年进化的活化石,是目前地球上唯一存活的野生马,保留着地球唯一的马的原始基因,具有别的物种无法比拟的生物学意义);在甘肃濒危动物研究中心经过多年循序渐进地适应性饲养、栏养繁育、半自然散放之后,该中心制定了详细的普氏野马放归工程计划,精心挑选出了两个家族的25匹普氏野马被放归到自然环境中去。有人预计,数年后,这些野马将发展成为一个野生种群。根据以上材料,下列叙述正确的是

A.野外的普氏野马的基因突变频率将不断增加

B.野外的普氏野马有助于保护区恢复力稳定性的增强

C.野外的普氏野马在自然选择的压力下,其某些基因的频率可能会发生变化

D.野外的普氏野马与圈养的普氏野马因环境不同而产生了生殖隔离

试题详情

35.我国每年有约400万的白血病患者,其中大约有一半是儿童,为此我国红十字基金会实施了关注白血病儿童的“小天使基金”计划,为这些儿童提供帮助,下列关于白血病的叙述不正确的是

A.环境污染可使白血病的发病率上升

B.骨髓移植是治疗白血病最有效的方法

C.白血病发病的根本原因是体内原癌基因被激活

D.通过“禁止近亲结婚”等措施可有效地降低白血病的发病率

试题详情

34.一个DNA分子中,G和C之和占全部碱基的46%,又知在该DNA分子的一条链中,A和C分别占28%和22%,则该DNA分子的另一条链中A和C分别占

A.28%、22 %   B.22%、28 %   C.23 %、27 %   D.26 %、24%

试题详情


同步练习册答案