0  267569  267577  267583  267587  267593  267595  267599  267605  267607  267613  267619  267623  267625  267629  267635  267637  267643  267647  267649  267653  267655  267659  267661  267663  267664  267665  267667  267668  267669  267671  267673  267677  267679  267683  267685  267689  267695  267697  267703  267707  267709  267713  267719  267725  267727  267733  267737  267739  267745  267749  267755  267763  447090 

7、

 

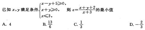
试题详情

6、在空间中,有如下命题:①互相平行的两条直线在同一平面内的射影必然是互相平行的两条直线;②若平面内任意一条直线都平行平面,则平面//平面;③若平面与平面的交线为m,平面内的直线n⊥直线m,则直线n⊥平面;④若平面内有两条直线都和平面内一条直线垂直,则。其中正确命题的个数为(  )

A.1个     B.2个      C.3个     D.4个

试题详情

5.在同一坐标系中画出函数的图像,可能正确的是

试题详情

2.的值为(  )

    A.1               B.              C.        D.

试题详情

1、集合,则A∩B=(  )

A.           B.

C.         D.

试题详情

14.已知函数上单调递减,则的取值范围为         .

温州中学2009学年第二学期期中考试

试题详情

13.给定一组函数解析式:①如图所示为一组函数图象,请把图象对应的解析式的号码填在相应图象下面的横线上.

试题详情

12.若函数是奇函数,则        .

试题详情

11.计算:      .

试题详情


同步练习册答案