0  268414  268422  268428  268432  268438  268440  268444  268450  268452  268458  268464  268468  268470  268474  268480  268482  268488  268492  268494  268498  268500  268504  268506  268508  268509  268510  268512  268513  268514  268516  268518  268522  268524  268528  268530  268534  268540  268542  268548  268552  268554  268558  268564  268570  268572  268578  268582  268584  268590  268594  268600  268608  447090 

(13)抛物线的焦点坐标是_______________。

(14)已知正方体外接球的体积是,则正方体的棱长等于______________。

(15)若函数的值为____________。

(16)给出下列四个命题:

   ①若,则

   ②若,则

   ③若正整数满足;,则

   ④若,且,则

    其中真命题的序号是_____________________(请把真命题的序号都填上)。

试题详情

(1)若将复数表示为是虚数单位)的形式,则等于

    A.0     B.1    C.-1     D.2

(2)已知集合,则等于

    A.    B.   C.   D.

(3)设是等差数列的前项和,若=,则等于

   A.1     B.-1    C.2    D.

(4)如图,程序框图所进行的求和运算是

A.

B.

C.

D.

(5)右图是某学校举行的运动会上,七位评委为某体操项目打出的分数的

   茎叶统计图,去掉一个最高分和一个最低分后,所剩数据的平均数和

   方差分别为

    A.84,4.84   B.84,1.6  C.85,1.6  D.85,4

(6)函数的零点一定位于区间

    A.(1,2)  B.(2,3)  C.(3,4)   D.(4,5)

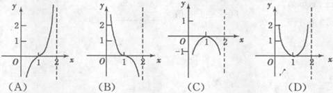
(7)函数的图象如右图所示,则函数的图象大致是

(8)已知函数,给出下列四个命题:

   ①若,则;   ②的最小正周期是

   ③在区间上是增函数;  ④的图象关于直线对称

   A.①②④   B.①③   C.②③   D.③④

(9)若是两条不同的直线,是三个不同的平面,则下列命题中为真命题的是

   A.若   B.若 

   C.若    D.若

(10)已知向量=(2,2),,则向量的模的最大值是

   A.3     B.    C.    D.18

(11)已知圆关于直线对称,则的取值范围是

   A.   B.   C.   D.

(12)若函数为奇函数,且在内是增函数,又,则的解集为

   A.      B.

   C.    D.

      

第Ⅱ卷(共90分)

注意事项:

   第Ⅱ卷共2页。考生必须使用0.5毫米黑色签字笔在答题卡上各题目的指定答题区域内

作答,填空题请直接填写答案,解答题应写出文字、证明过程或演算步骤。在试卷上作答无

效。

试题详情

2.常用的化学方法

  ⑴ 溶解过滤法:Cu(Fe)、Cu(CuO)---加稀盐酸溶解后过滤

  ⑵ 生成气体法:NaCl溶液(Na2CO3)---加适量稀盐酸

  ⑶ 生成沉淀法:NaCl溶液(CaCl2)---加适量碳酸钠溶液后过滤

  ⑷ 酸碱中和法:NaCl溶液(NaOH)---加适量稀盐酸

试题详情

   分离:根据混合物中各成分的性质差异,采用适当的物理或化学方法将它们从混合物中-一分开,得到几种纯净物的过程。

   提纯(除杂):利用物质和杂质的性质不同,选择适当实验方法除去该物质中的少量杂质而得到纯净物的过程。提纯时只保留混合物的提纯成分,除去的杂质不保留。

   提纯的原则:

①“不增”:除杂时不能引人新杂质,加人的过量除杂剂也应最后除去。

②“不变”:选择的除杂剂一般只与杂质反应,不能使被提纯物质的性质改变。

③“易分”:要选择简单易分离、现象明显、所得物质纯度高的除杂方法。

1.常用的物理方法

  ⑴ 过滤:用于固体不溶物与液体的分离。

  ⑵ 蒸发:用加热使溶剂不断挥发,从而使溶液浓缩或使溶质析出。

试题详情

16.函数y=f(x)满足f(-x)=-f(x),当x>0时,f(x)=x2+x,则当x<0时,f(x)=      .

浙江省淳安中学

2009-2010学年度高三第二学期第二次月考试卷

试题详情

15.实数,则的最大值为      .

试题详情

14.二次函数上递减,则a的取值范围是      .

试题详情

13.

试题详情

12. 给出下列四个命题:

①函数y=-sin(kπ+x),(k∈Z)是奇函数;

②函数y=tanx图象关于点( kπ+,0)(k∈Z)对称;

③函数y=(sinx+cosx)2+cos2x最大值为3;

④函数y=sin(2x+)的图象由图象y=sin2x向左平移个单位得到

其中正确命题的个数是:                       

   A.1个           B.2个           C.3个           D.4

第Ⅱ卷(非选择题  共90分)

试题详情

11.已知P是以F1,F2为焦点的椭圆上的一点,若PF1⊥PF2

   tan∠PF1F2=,则此椭圆的离心率为                       

    A.            B.            C.            D.

试题详情


同步练习册答案