0  268511  268519  268525  268529  268535  268537  268541  268547  268549  268555  268561  268565  268567  268571  268577  268579  268585  268589  268591  268595  268597  268601  268603  268605  268606  268607  268609  268610  268611  268613  268615  268619  268621  268625  268627  268631  268637  268639  268645  268649  268651  268655  268661  268667  268669  268675  268679  268681  268687  268691  268697  268705  447090 

20.(本小题满分16分)

(Ⅰ)∵上存在最大值和最小值,

        ∴(否则值域为R),

    ∴

       

,由题意有

        ∴;   (4分)

    (Ⅱ)若为奇函数,∵,∴

   

题7.(2010年江苏省苏北四市高三年级第二次模拟考试)已知函数(不同时为零的常数),导函数为.

(1)当时,若存在使得成立,求的取值范围;

(2)求证:函数内至少有一个零点;

(3)若函数为奇函数,且在处的切线垂直于直线,关于的方程上有且只有一个实数根,求实数的取值范围

时,,故

所以所求的取值范围是

题8.(泰州市2010届高三联考试题)(本小题满分16分)

已知函数(其中为常数);

(1)如果函数有相同的极值点,求的值;

(2)设,问是否存在,使得,若存在,请求出实数的取值范围;若不存在,请说明理由.

(3)记函数,若函数有5个不同的零点,求实数的取值范围.

题9.(洪泽中学2010年4月高三年级第三次月考试卷对于定义在区间D上的函数,若存在闭区间和常数,使得对任意,都有,且对任意∈D,当时,恒成立,则称函数为区间D上的“平底型”函数.

(1)判断函数是否为R上的“平底型”函数?   并说明理由;

(2)设是(1)中的“平底型”函数,为非零常数,若不等式 对一切R恒成立,求实数的取值范围;

(3)若函数是区间上的“平底型”函数,求的值.

试题详情

7. (2010年江苏省苏北四市高三年级第二次模拟考试)已知函数(为常数且),若在区间的最小值为,则实数的值为   ▲  .

题19.(2010年苏北四市高三年级第二次模拟考试)若函数的定义域和值域均为,则的取值范围是___.

题20.(南京市2010年3月高三第二次模拟)定义在R上的满足=   

题21.(南京市2010年3月高三第二次模拟)已知定义域为D的函数f(x),如果对任意x∈D,存在正数K, 都有∣f(x)∣≤K∣x∣成立,那么称函数f(x)是D上的“倍约束函数”,已知下列函数:①f(x)=2x②=;③=;④=,其中是“倍约束函数的是    。①③④

题22.(南京市2010年3月高三第二次模拟)定义在R上的奇函数,当x∈(0,+∞)时,f(x)=,则不等式f(x)<-1的解集是    

题23.(洪泽中学2010年4月高三年级第三次月考试卷已知映射.设点,点M 是线段AB上一动点,.当点M在线段AB上从点A开始运动到点B结束时,点M的对应点所经过的路线长度为       

原 创 ★ 启 用 前    (内部资料)
江苏省海安高级中学
高三数学学科教研组制  2010年4月
 
 回归数学解答题<函数与导数>(3)B

题1.(南通市2010年高三二模)(本小题满分16分)

设函数f(x)=x4+bx2+cx+d,当xt1时,f(x)有极小值.

(1)若b=-6时,函数f(x)有极大值,求实数c的取值范围;

(2)在(1)的条件下,若存在实数c,使函数f(x)在闭区间[m-2,m+2]上单调递增,求实数m的取值范围;

(3)若函数f(x)只有一个极值点,且存在t2∈(t1t1+1),使f ′(t2)=0,证明:函数g(x)=f(x)-x2+t1x在区间(t1t2)内最多有一个零点.

题2.(江苏省南通市2010年高三二模)(本小题满分16分)

如图所示的自动通风设施.该设施的下部ABCD是等腰梯形,其中AB=1米,高0.5米,CD=2a(a)米.上部CmD是个半圆,固定点ECD的中点.△EMN是由电脑控制其形状变化的三角通风窗(阴影部分均不通风),MN是可以沿设施边框上下滑动且始终保持和CD平行的伸缩横杆.

(1)设MNAB之间的距离为x米,试将三角通风窗EMN的通风面积S(平方米)表示成关于x的函数

(2)当MNAB之间的距离为多少米时,三角通风窗EMN的通风面积最大?并求出这个最大面积.

时,.……………………………………………14分

综上,时,当时,,即MNAB之间的距离为0米时,三角通风窗EMN的通风面积最大,最大面积为平方米.时,当时,, 即之间的距离为米时,三角通风窗EMN的通风面积最大,最大面积为平方米.………………………16分

题3.(2010年3月苏、锡、常、镇四市高三教学情况调查一)(本小题满分16分)

   已知函数(,实数为常数).

(1)若(),且函数上的最小值为0,求的值;

(2)若对于任意的实数,函数在区间上总是减函数,对每个给定的n,求的最大值h(n).

g(x)=

题3.(无锡市2010年普通高中高三质量调研)(本题满分16分)

    已知函数为奇函数,

处取得极大值2

  (1)求函数的解析式;

  (2)记,求函数的单调区间;

  (3)在(2)的条件下,当时,若函数的图像的直线的下方,求的取值范围。

解析:(1)由(≠0)为奇函数,

    ∴,代入得,                                 1分

    ∴,且取得极大值2

    ∴                                     3分

    解得,∴                            4分

  (2)∵

    ∴                           5分

    因为函数定义域为(0,+∞),所以

 

    得(舍去).

    由函数定义域为(0,+∞),                               13分

    则当时,,当

    ∴当时,函数取得最小值1-。                           15分

    故的取值范围是(1,+∞)。答也正确  16分

题4.(江苏省无锡市部分学校2010年4月联考试卷)(16分)已知函数

(1)若证明:对于任意的两个正数,总有成立;

(2)若对任意的,不等式:恒成立,求的取值范围。

     即:

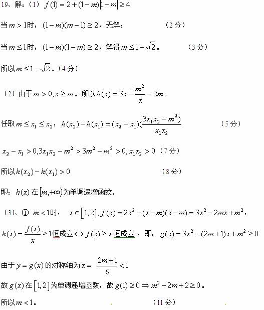
题5.(连云港市2010届高三二模试题)(16分)设m为实数,函数 .

(1)若≥4,求m的取值范围;

(2)当m>0时,求证上是单调递增函数;

(3)若对于一切,不等式≥1恒成立,求实数m的取值范围

                                      

②  当时,           

易证  在为递增,由②得为递增,

所以,,即,  所以 。      (14分)      

③当时,  (无解)        (15分)   

综上所述  。                    (16分) 

题6.(苏南六校2010年高三年级联合调研考试)(本小题满分16分)

已知函数

(Ⅰ)若上存在最大值与最小值,且其最大值与最小值的和为,试求的值。

(Ⅱ)若为奇函数,

(1)是否存在实数,使得为增函数,为减函数,若存在,求出的值,若不存在,请说明理由;

(2)如果当时,都有恒成立,试求的取值范围。

试题详情

23.以下是美国某总统在1971年的一次演说:“西欧和日本…在经济的领导问题上……在全世界同我们竞争得非常激烈。……同我们在第二次世界大战结束的时候相比,美国遇到了我们甚至连做梦都没有想到过的那种挑战。”该总统是

   A.罗斯福     B.杜鲁门       C.艾森豪威尔     D.尼克松

试题详情

22.在“三十年代大萧条”时期,主要的资本主义工业国都采取了一系列增加就业的措施。其中美国实行的主要措施是

   A.兴办公共工程  B.发展军事工业  C.调整农业生产   D.加强殖民掠夺

试题详情

21.法国资产阶级在对封建制度的改造中,基本上实现了资产阶级争取经济自由、政治平等的革命目标的标志是

A.制宪会议颁布的八月法令与《人权宣言》  

B.国民公会处死路易十六,建立共和国

C.雅各宾派废除封建权利,解决农民的土地问题  

D.拿坡仑制定《民法典》和其他几部法典

试题详情

20.以下属于开辟新航路所带来的后果的有  ①西、葡两国扩大了资本  ②意大利的商业地位削弱  ③扩大了欧洲与亚洲、非洲之间的贸易   ④加速了西欧封建制度的衰落 

A.①②③     B.②③④       C.①③④       D.①②④

试题详情

19.新航路开辟的根本原因是

   A.欧洲商品经济的发展         B.天文地理知识的进步

   C.《马可·波罗行纪》的流传       D.西、葡专制王室的支持

试题详情

18.16世纪晚期,山东某地开始出现“地多烟草、木棉,专卖四方,五谷之利不及其半”的情况。这说明当时该地

   ①农业经济衰退  ②农业结构发生变化  ③商品经济发展  ④农产品加工兴盛

A.①②       B.②③        C.③④        D.①③ 

试题详情


同步练习册答案