0  293970  293978  293984  293988  293994  293996  294000  294006  294008  294014  294020  294024  294026  294030  294036  294038  294044  294048  294050  294054  294056  294060  294062  294064  294065  294066  294068  294069  294070  294072  294074  294078  294080  294084  294086  294090  294096  294098  294104  294108  294110  294114  294120  294126  294128  294134  294138  294140  294146  294150  294156  294164  447090 

7.(江苏省扬州中学2010模拟题)某药物分子结构简式如下图所示,下列关于该物质的说法不正确的是

A.分子式为C21H20O3Cl2

B.醚键上的氧原子至少与另外11个原子共面

C.分子中不存在手性碳原子

D.在一定条件下可发生加成、取代、氧化反应

答案 C

试题详情

6.(贵州省凯里一中2010届高三第十模)2009年4月在很多国家爆发了甲型HINI流感,现已造成多人死亡。一种叫达菲的药物在治疗各种流感中得到广泛使用,达菲的结构简式如下:

下列说法中正确的是:

A、达菲的分子式为C12H20O8

B、1mol达菲与足量的NaOH溶液反     应,消耗NaOH 1mol。

C、1mol达菲与氢气在一定条件下发生  反应,最多消耗氢气3mol。

D、达菲能发生水解反应生成小分子。

答案 D

试题详情

5.(安徽省安庆市2010届高三模拟题)被誉为中国“新四大发明”的复方蒿甲醚是第一个由中国发现的全新化学结构的药品,也是目前在国际上获得广泛认可的中国原创药品。截至2005年底,已被26个亚非国家指定为疟疾治疗一线用药,它在疟疾这一高传染性疾病治疗史上具有里程碑意义。其主要成分是青蒿素(是一种由青蒿中分离得到的具有新型化学结构的抗疟药),

结构如右图所示。有关该化合物的叙述正确的是

A.该化合物分子结构中有三个酯基    

B.该化合物在一定条件下不能与NaOH溶液反应

C.该化合物中含有过氧键,一定条件下有氧化性 

D.青蒿素可溶于水

答案 C

试题详情

4.(江西省上高二中2010年高三热身)下列说法中,正确的是(   )  

A.分子内脱去一个小分子的反应一定是消去反应

B.可用浓溴水除去苯中混有的苯酚

C.胶体是一种较稳定的分散系,可用渗析法从胶体中分离出离子或小分子

D.向卤代烃水解后的溶液中直接加入硝酸银溶液,可以确定卤代烃中含有的卤元素

答案 C

试题详情

3.(2010江苏省三校四模联考)下列叙述不正确或不严谨的是

A.胶体都属于混合物,大部分都是带电的

B.石油的分馏是一种物理变化

C.工业制镁用电解熔融氯化镁的方法,制铝用电解熔融氧化铝的方法

D.烃和烃的含氧衍生物分子中的氢原子数一定是偶数

答案 A

试题详情

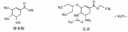
2.(2010年湖南省重点示范高中高三冲刺模拟试题)2009年甲型H1N1流感疫情在全球暴发,继“非典”之后,又一场抗击全球性传染病的战斗打响了。我国莱茵生物公司从中药八角中提取莽草酸,再经过多步反应合成的达菲因此变得供不应求。已知莽草酸和达菲的结构式如下:

   

下列关于莽草酸和达菲的判断不正确的是                             (   )

     A.它们都能使溴的四氯化碳溶液褪色

     B.莽草酸的分子式为C7H10O5

     C.达菲在热的NaOH溶液中不能稳定存在

     D.莽草酸和达菲的分子中含有羟基、羧基、氨基、苯环等结构

答案 D

试题详情

1.(2010江苏省三校四模联考)下列说法正确的是

A.乙酸、葡萄糖、淀粉的实验式均为CH2O

B.           的名称为:2,2,4-三甲基-4-戊烯

C.PCl3、H2O2、COCl2三种分子中所有原子均满足最外层8电子结构

D.NaHSO4在熔融状态下的电离方程式为:NaHSO4 = Na+ + HSO4

答案 D

试题详情

2010年联考题

题组一

试题详情

2010年高考题

试题详情

50.(8分)下图为细胞分裂某一时期的示意图。

(1) 此细胞所处的分裂时期是                ,此时有四分体     个,染色体     条,DNA分子      个。

(2) 可以和1号染色体组成一个染色体组的是              染色体。

(3) 请在右面方框内画出该细胞下一个分裂时期的示意图:(只画其中一种情况)

试题详情


同步练习册答案