0  295568  295576  295582  295586  295592  295594  295598  295604  295606  295612  295618  295622  295624  295628  295634  295636  295642  295646  295648  295652  295654  295658  295660  295662  295663  295664  295666  295667  295668  295670  295672  295676  295678  295682  295684  295688  295694  295696  295702  295706  295708  295712  295718  295724  295726  295732  295736  295738  295744  295748  295754  295762  447090 

4、设等差数列的前项和为,若,则     (    )

A.26    B.27   C.28    D.29

试题详情

3、设ab是非零实数,命题,命题,则的(  )是

(A)充分不必要条件                   (B)必要不充分条件 

(C)充分必要条件                     (D)既不充分也不必要条件

试题详情

2、已知全集,集合等于(   )

A.          B.  

C.          D.

试题详情

1、是虚数单位,                      (    ) 

A、         B、        C、       D、

试题详情

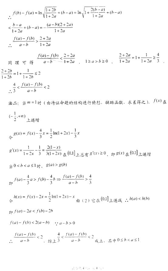
22、已知函数

(1)为定义域上的单调函数,求实数的取值范围

(2)当时,求函数的最大值

(3)当时,且,证明:

试题详情

21、已知函数

(1)若函数的值域为,求实数的取值范围;

(2)若,求的反函数

(3)若方程内有解,求实数的取值范围;

试题详情

20、设函数,数列满足

(1)求数列的通项公式。

(2)令,试比较的大小,并加以证明。

试题详情

19、已知数列的前项和为,对一切正整数,点都在函数的图像上,且过点的切线的斜率为

 (1)求数列的通项公式.

 (2)若,求数列的前项和

试题详情

18、某公司在“2010年上海世博会知识宣传”活动中进行抽奖活动,抽奖规则是:在一个盒子中装有8张大小相同的精美卡片,其中2张印有“世博会欢迎您”字样,2张印有“世博会会徽”图案,4张印有“海宝”(世博会吉祥物)图案,现从盒子里无放回的摸取卡片,找出印有“海宝”图案的卡片表示中奖且停止摸卡.

(Ⅰ)求最多摸两次中奖的概率;

(Ⅱ)用表示摸卡的次数,求的分布列和数学期望.   

试题详情

17、已知函数的定义域集合是A,函数的定义域集合是B

(1)求集合A、B

(2)若的充分不必要条件,求实数的取值范围.

试题详情


同步练习册答案