0  295570  295578  295584  295588  295594  295596  295600  295606  295608  295614  295620  295624  295626  295630  295636  295638  295644  295648  295650  295654  295656  295660  295662  295664  295665  295666  295668  295669  295670  295672  295674  295678  295680  295684  295686  295690  295696  295698  295704  295708  295710  295714  295720  295726  295728  295734  295738  295740  295746  295750  295756  295764  447090 

下图为垂直自然带与相应水平自然带理论上的对应关系图,读图回答3--4题。

3.与图中④甲所代表的自然景观类型分布相一致的地区是

A.巴西高原   B.西伯利亚地区

C.华北地区   D.江南丘陵

4.下列诗词最能体现①-④水平地域分异规律的是

A.人间四月芳菲尽,山寺桃花始盛开      B.夏秋天水一色,冬春草洲无边

C.才从塞北踏雪来,又向江南看杏花     D.春风先发苑中梅,樱杏桃李次第开

试题详情

右图为我国某区域图,读图回答1--2题。

1.有关该区域特征说法错误的是

A.河流流量主要随气温变化而变化

B.河流M有凌汛现象

C.粮食商品率高,人均耕地面积大

D.实木家具城R接近原料产地

2.N地退耕还沼的主要目的是

A.可进一步提供大量粮食

B.提供更多的旅游欣赏景观

C.为农业生产提供充沛灌溉水源

D.为区域可持续发展提供生态保障

试题详情

22、已知函数

(1)为定义域上的单调函数,求实数的取值范围

(2)当时,求函数的最大值

(3)当时,且,证明:

试题详情

21、已知函数

(1)若函数的值域为,求实数的取值范围;

(2)若,求的反函数

(3)若方程内有解,求实数的取值范围;

试题详情

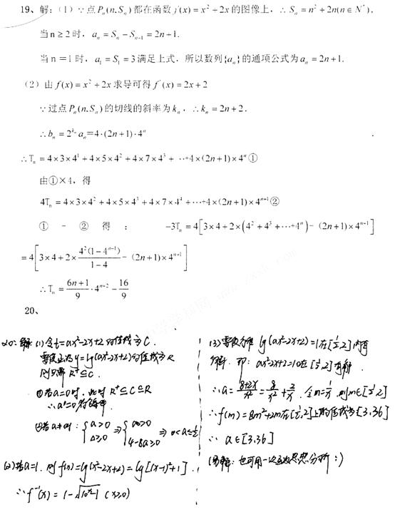
20、设函数,数列满足

(1)求数列的通项公式。

(2)令,试比较的大小,并加以证明。

试题详情

19、已知数列的前项和为,对一切正整数,点都在函数的图像上,且过点的切线的斜率为

 (1)求数列的通项公式.

 (2)若,求数列的前项和

试题详情

18、某公司在“2010年上海世博会知识宣传”活动中进行抽奖活动,抽奖规则是:在一个盒子中装有8张大小相同的精美卡片,其中2张印有“世博会欢迎您”字样,2张印有“世博会会徽”图案,4张印有“海宝”(世博会吉祥物)图案,现从盒子里无放回的摸取卡片,找出印有“海宝”图案的卡片表示中奖且停止摸卡.

(Ⅰ)求最多摸两次中奖的概率;

(Ⅱ)用表示摸卡的次数,求的分布列和数学期望.   

试题详情

17、已知函数的定义域集合是A,函数的定义域集合是B

(1)求集合A、B

(2)若的充分不必要条件,求实数的取值范围.

试题详情

16、设函数是定义域为R的奇函数,且满足对一切 恒成立,当时,

  ①是以4为周期的周期函数;

 ②上的解析式为

的图象的对称轴中有

处的切线方程为

上述命题中正确命题的序号是      .

试题详情

15、已知是定义在上的奇函数,且是以2为周期的周期函数,若当时,,则=   

试题详情


同步练习册答案