0  338804  338812  338818  338822  338828  338830  338834  338840  338842  338848  338854  338858  338860  338864  338870  338872  338878  338882  338884  338888  338890  338894  338896  338898  338899  338900  338902  338903  338904  338906  338908  338912  338914  338918  338920  338924  338930  338932  338938  338942  338944  338948  338954  338960  338962  338968  338972  338974  338980  338984  338990  338998  447090 

15.据报道,“嫦娥二号”探月卫星将于2010年底前发射,其环月飞行的高度距离月球表面

100km,所探测到的有关月球的数据将比环月飞行高度为200km的“嫦娥一号”更加翔

实。若两颗卫星环月的运行均可视为匀速圆周运动,运行轨道如图所示。则

A.“嫦娥二号”环月运行的周期比“嫦娥一号”

更小   

B.“嫦娥二号”环月运行时的线速度比“嫦娥一

号”更小

C.“嫦娥二号”环月运行时的向心加速度比“嫦

娥一号”更大

D.“嫦娥二号”环月运行时的向心加速度与“嫦

娥一号”相等

试题详情

14.在下列两个核反应方程中,X1、X2分别代表一种粒子。①﹢X1

   ②﹢X2,以下判断中正确的是

   A.①是重核裂变反应

   B.②是轻核聚变反应

  C.X1是α粒子,此种粒子形成的射线具有很强的贯穿本领

   D.X2是中子,X2的质量等于质量之和减去的质量

试题详情

13.已知:H2(g)+I2(g)2HI(g),△H<0,该反应是一个可逆反应。若反应物起始物质的量相同,下列关于该反应的示意图正确的是

试题详情

12.300℃时,将100 mL由H2O、CO2和N2组成的混合气体,通入到盛有足量Na2O2的密闭容器中(容器体积保持不变),充分反应后恢复到原温度时,容器内的压强变为原来的四分之三。则原混合气体中N2的体积分数为

   A.33.3%     B.25%     C.50%      D.75%

试题详情

11.常温下,在10 mL 0.2 mol/L某一元强酸HA的溶液中逐滴加入a mL 0.1 mol/L的氨水,下列有关说法中正确的是

   A.当c()=c(A-)时,a一定等于20

   B.当c()>c(A-)时,a一定大于20

   C.当c(H+)>c(OH-)时,a一定小于20

   D.当pH=7时,c()=c(A-)=c(H+)=c(OH-)

试题详情

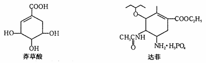
10.达菲是治疗甲型H1N1流感的有效药物之一。合成达菲的原料是莽草酸,已知莽草酸和达菲的结构简式如下图所示,则有关说法中不正确的是

A.1 mol莽草酸与足量金属钠反应最多可生成2 mol氢气

   B.达菲既可催化加氢,又可使酸性KMnO4溶液褪色

   C.达菲既可发生水解反应,又可与Br2的CCl4溶液发生加成反应

   D.莽草酸既可与FeCl3溶液发生显色反应,又可与NaHCO3溶液反应放出CO2

试题详情

9.关于元素周期表和元素周期律的说法中正确的是

   A.第ⅠA族元素的金属性一定比第ⅡA族的强

   B.F-、Na+、Mg2+、Al3+的离子半径依次增大

   C.第ⅥA族元素的氢化物中,稳定性最强的其沸点最低

   D.按照元素周期表的排布规律,非金属元素最多为23种

试题详情

8.设NA为阿伏加德罗常数,下列说法中不正确的是

   A.20 gD2O中含有的中子数为10NA

   B.3 g甲醛中含有的共价键数为0.4NA

   C.14 g乙烯和丙烯的混合物中含有的原子总数为2NA

D.含NA个阳离子的CaC2固体投入足量水中,产生的乙炔为22.4L(标准状况)

试题详情

7.下列关于化学键和物质结构的说法中正确的是

   A.干冰和水晶熔化时,所克服的作用力相同

   B.原子晶体氮化硅制成的陶瓷具有熔点高、硬度大等特点

C.由非金属元素组成的化合物一定是共价化合物

   D.不同元素组成的多原子分子里的化学键一定是极性键

试题详情

6.某元色溶液中加入铝粉有氢气放出,则在该溶液中可能大量共存的离子组是

A.K+、、OH-     B.Fe3+、Ba2+、H+、I-

   C.H+、、Cl-、      D.Na+、Al3+、

试题详情


同步练习册答案