题目列表(包括答案和解析)

 0  172410  172418  172424  172428  172434  172436  172440  172446  172448  172454  172460  172464  172466  172470  172476  172478  172484  172488  172490  172494  172496  172500  172502  172504  172505  172506  172508  172509  172510  172512  172514  172518  172520  172524  172526  172530  172536  172538  172544  172548  172550  172554  172560  172566  172568  172574  172578  172580  172586  172590  172596  172604  447348 

12.一物体在外力的作用下从静止开始做直线运动,合外力方向不变,大小随时间的变化如图所示。设该物体在时刻相对于出发点的位移分别是,速度分别是,合外力从开始至时刻做的功是,从时刻做的功是,则:           

A.      B.   

C.      D.  

第II卷(非选择题 共64分)

试题详情

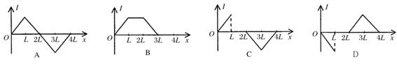
11. 如图所示,等腰梯形内分布着垂直纸面向外的匀强磁场,它的底边在x轴上且长为3L,高为L,底角为45°。有一边长也为L的正方形导线框沿x轴正方向做匀速直线运动穿过磁场区域,在t=0时刻恰好位于如图所示的位置。若以顺时针方向为导线框中电流正方向,在下面四幅图中能正确表示导线框中电流和位移关系的是  

试题详情

10.有一种测量人体重的电子秤,其原理图如图所示,它主要由三部分构成:踏板、压力传感器R(是一个阻值可随压力大小而变化的电阻器)、显示体重的仪表G(实质是理想电流表),设踏板的质量可忽略不计,已知理想电流表的量程为3A,电源电动势为12V,内阻为2Ω,电阻R随压力F变化的函数式为R=30-0.02F(F和R的单位分别是N和Ω)。下列说法正确是 

A.该秤能测量的最大体重是1500N

B.体重为1300N应标在电流表G刻度盘2A刻度处

C.该秤零刻度线(即踏板空载时的刻度线)应标在电流表G刻度盘0刻度处

D.该秤零刻线应标在电流表G刻度盘的最右端

试题详情

9.如图所示,质量分别为m1m2的两个物体通过轻弹簧连接,在大小相等的两力F的作用下一起沿水平方向做匀速直线运动(m1在地面,m2在空中),斜向上的力F与水平方向成θ角,轻弹簧与水平方向成α角。则m1所受支持力、摩擦力f和弹簧弹力T正确的是

  A.

  B.

  C.

  D.

试题详情

8.某静电场的电场线分布如图所示,P、Q为电场中的两点.则下列说法正确的是

A.P点电势一定高于Q点电势

B.P点场强一定小于Q点场强

C.负电荷在P点的电势能大于在Q点的电势能

D.若将一试探电荷+q由P点释放,它将沿电场线运动到Q点

试题详情

7.甲、乙两车在公路上沿同一方向做直线运动,在时,乙车在甲车前处,它们的图象如图所示,下列对汽车运动情况的描述正确的是

A.甲车先做匀速运动再做反向匀减速运动

B.在第20s末,甲、乙两车的加速度大小相等

C.在第30s末,甲、乙两车相距50m

D.在整个运动过程中,甲、乙两车可以相遇两次

试题详情

6.将阻值为5Ω的电阻接到内阻不计的交流电源上,电源电动势随时间变化的规律如图所示.下列说法正确的是

A.电路中交变电流的频率为0.25 Hz   

B.通过电阻的电流为A

C.电阻消耗的电功率为2.5 W  

D.用交流电压表测得电阻两端的电压是5 V

试题详情

5.某学生在进行“研究串联电路电压特点”的实验时,接成如下图所示的电路。接通S后,他将较大内阻的电压表接在A、C 两点时,电压表读数为U;将该电压表接在A、B两点时,电压表读数也为U;将该电压表接在B、C两点时,电压表的读数为零。则出现此种情况的原因可能是            

A. AB段断路    

B. BC段断路 

C. AB段短路    

 D. BC 段短路

试题详情

4.在一竖直砖墙前让一个小石子自由下落,小石子下落的轨迹距离砖墙很近。 现用照相机对下落的石子进行拍摄。某次拍摄的照片如图所示,AB为小石子在这次曝光中留下的模糊影迹。已知每层砖(包括砖缝)的平均厚度约为 6cm,A点距石子开始下落点的竖直距离约1.8m。估算照相机这次拍摄的“曝光时间”最接近   A.2.0×10-1s                          B.2.0×10-2s   

   C.2.0×10-3s                               D.2.0×10-4s

试题详情

3.如图所示,在倾角为的光滑固定斜面上,垂直纸面放置一根长为L,质量为m的直导体棒。在导体棒中的电流I垂直纸面向里时,欲使导体棒静止在斜面上,下列外加匀强磁场的磁感应强度B的大小和方向正确是      

     A.方向垂直斜面向上

   B.,方向垂直斜面向下

  C.,方向竖直向上

D.,方向竖直向下

试题详情


同步练习册答案