题目列表(包括答案和解析)

 0  78591  78599  78605  78609  78615  78617  78621  78627  78629  78635  78641  78645  78647  78651  78657  78659  78665  78669  78671  78675  78677  78681  78683  78685  78686  78687  78689  78690  78691  78693  78695  78699  78701  78705  78707  78711  78717  78719  78725  78729  78731  78735  78741  78747  78749  78755  78759  78761  78767  78771  78777  78785  447348 

7.下列各数中,可以用来说明命题“任何偶数都是6的倍数”是假命题的反例是………( )

  A.9         B.12      C.18         D.16

试题详情

6.下列命题中, 真命题是………………………………………………………( )

A.对角线相等的四边形是矩形     

B.对角线互相垂直且相等的四边形是正方形

C.对角线互相垂直的四边形是菱形    D.对角线互相平分的四边形是平行四边形

试题详情

5.下列运算中,正确的是……………………………………………………………………(   )

A.                B.

C.              D.

试题详情

4.用反证法证明命题“一个三角形中不能有两个角是直角”,应先假设这个三角形中………( )

A.有两个角是直角           B.有两个角是钝角

C.有两个角是锐角           D.一个角是钝角,一个角是直角

试题详情

3.用配方法解一元二次方程,则方程可变形为…………………………( )

   A.     B.      C.    D.

试题详情

2.下列各图中,不是中心对称图形的是……………………………………………………( )

                          

      A          B         C          D

试题详情

1.八年级某班55位同学中,4月份出生的频率是0.20,那么该班4月份生日的同学有(  )

A.10人       B.11人       C.12人       D.13人

试题详情

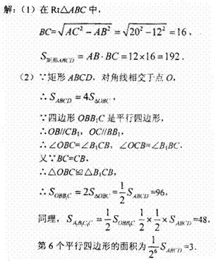
25、

[注:本卷由桥头中学蔡秋莲老师(664268)命题、桥下三中李德龙老师(619125)

审阅,各题可能有不同的正确解法,仅供参考。]

试题详情

21、略   22、∠DAB=∠B=60度,∠D=∠DCB=120度  23、是,证明略  24、略

试题详情

18、1:    19、15度     20、C

试题详情


同步练习册答案