题目列表(包括答案和解析)

 0  80298  80306  80312  80316  80322  80324  80328  80334  80336  80342  80348  80352  80354  80358  80364  80366  80372  80376  80378  80382  80384  80388  80390  80392  80393  80394  80396  80397  80398  80400  80402  80406  80408  80412  80414  80418  80424  80426  80432  80436  80438  80442  80448  80454  80456  80462  80466  80468  80474  80478  80484  80492  447348 

3.已知一次函数y=(a-1)x+b的图象如图所示,那么a的取值范围是(  )

A.a>1    B.a<1    C.a>0    D.a<0

试题详情

2.在直线y=-5x+1上有两点A(x1,y1)和B(x2,y2),若x1<x2,则y1和y2的大小关系是_______.

试题详情

1.对于函数y=x-4,函数值y随x的增大而_______.

试题详情

13.函数是两个变量x和y之间的一种对应关系,数学家欧拉在1734年提出一种简便的记法,使用“y=f(x)”来表示y和x的某种对应关系.如对于函数y=4-2x可用f(x)=4-2x来表示,那么当x=3时,y=4-2×3=-2,可表示成f(3)=-2.

   现若f(x)=x-x,你能求出f(-1)和f(f(-1))的值吗?

试题详情

12.北京某厂和上海某厂同时研制成大型电子计算机若干台,北京厂可支援外地10台,上海厂可支援外地4台,现决定给重庆8台,汉口6台,假定每台计算机的运费如下表所示:

  (1)若总运费为8400元,上海运往汉口应是多少台?

  (2)若要求总运费不超过8200元,共有几种调运方案?

◆拓展训练

试题详情

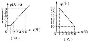
11.如图,某县农技员连续6年对该县农村甲鱼养殖业的规模和产量进行调查统计.

   图甲:反映每个甲鱼养殖池的平均年产量p(万只)与年数t(年)的关系;图乙:反映每年甲鱼养殖池的个数q(个)与年数t(年)的函数关系.根据这两方面的信息说明:

  (1)第二年甲鱼养殖池的个数是多少?这一年全县甲鱼的总产量是多少只?

(2)从这两个图象分析,该县的甲鱼养殖业规模是在扩大,还是在缩小?为什么?

 
汉口
重庆
北京厂
400元
800元
上海厂
300元
500元

试题详情

10.为调动销售人员的积极性,A,B两公司采取如下工资支付方式:A公司每月2000元基本工资,另加销售额的2%作为奖金,B公司每月1600元基本工资,另加销售额的4%作为奖金.已知A,B公司两位销售员小李,小张1-6月份的销售额如下表:

 
销售额(单元:元)
1月
2月
3月
4月
5月
6月
小李(A公司)
11600
12800
14000
15200
16400
17600
小张(B公司)
7400
9200
11000
12800
14600
16400

   (1)请问小李与小张3月份的工资各是多少?

   (2)小李1-6月份的销售额y1与月份x的函数关系式是y1=1200x+10400,小张1-6月份的销售额y2也是月份x的一次函数,请求出y2与x的函数关系式;

(3)如果7-12月份两人的销售额也分别满足(2)中两个一次函数的关系,问几月份起小张的工资高于小李的工资?

试题详情

9.某软件公司开发出一种图书管理软件,前期投入的开发广告宣传费用共50000元,且每售出一套软件,软件公司还需支付安装调试费用200元.

  (1)试写出总费用y(元)与销售套数x(套)之间的函数关系式;

  (2)如果每套定价700元,软件公司至少要售出多少套软件才能确保不亏本?

试题详情

8.张明骑车上学,开始以某一速度行驶,途中车子发生了故障,修好后,张明加快了车速,准时赶到了学校,下面四个函数示意图中(s为路程,t为时间),能反映上述过程的是(  )

试题详情

7.小东从A地出发以某一速度向B地走去,同时小明从B地出发以另一速度向A地而行,如图所示,图中的线段y1,y2分别表示小东,小明离B地的距离(千米)与所用时间(时)的关系.

 (1)试用文字说明:交点P所表示的实际意义;(2)试求出A,B两地的距离.

◆提高训练

试题详情


同步练习册答案