题目列表(包括答案和解析)

 0  80756  80764  80770  80774  80780  80782  80786  80792  80794  80800  80806  80810  80812  80816  80822  80824  80830  80834  80836  80840  80842  80846  80848  80850  80851  80852  80854  80855  80856  80858  80860  80864  80866  80870  80872  80876  80882  80884  80890  80894  80896  80900  80906  80912  80914  80920  80924  80926  80932  80936  80942  80950  447348 

4.设:第一块合金取x克第二块合金取y∴第一块合金取100克,第二块合金取300克.

试题详情

3.设:这两个容器的容量各为x升、y升, ∴这两个容器的容量为63升、84升.

试题详情

 

   答:甲的速度为5公里/时,乙的速度为4公里/时.

2.设:甲种盐水的浓度为x,乙种盐水浓度为y,∴甲种盐水浓度为6%,忆种盐水浓度为12%.

试题详情

6.某船的载重量是5200吨,容积是20000立方米,再有甲、乙、丙三种货物.甲种每2立方米重1吨,乙种每8立方米重1吨,丙种每4立方米重1吨,装货时要求甲种与丙种货物的重量比为2:3,问三种货物应各装多少吨,才能充分利用船的载重量与容积?

参答答案

同步题库五

试题详情

5.一只轮船在静水中每小时行12公里,某农民从甲镇到丙镇搭船顺流航行需要7小时,回来搭原船逆流5小时,在离甲镇36公里的乙镇上岸,求甲镇到丙镇的水路距离和水流速度.

试题详情

4.有两块合金,第一块含金270克、铜30克;第二块含金400克、铜100克,要得到含金82.5%的合金400克,应当每块合金各取多少克?

试题详情

3.第一个容器有49升水,第二个容器有56升水,如果将第二个容器的水倒满第一个容器,那么第二个容器剩下的水是这个容器容量的;如果将第一个容器的水倒满第二个容器,那么第一个容器剩下的水是这容器容量的,求这两个容器的容量.

试题详情

2.有甲、乙两种盐水,从甲种取240克,乙种取120克制成盐水浓度为8%;从甲种取80克,乙种取160克制成的盐水浓度为10%,求甲、乙两种盐水的浓度各是多少?

试题详情

1.A、B两地相距18公里,甲、乙两人分别从A、B两地同时相向而行,两小时后在途中相遇,相遇后甲返回A,乙继续向A地前进,甲回到A地时,乙离A地还有2公里,求甲、乙两人的速度.

试题详情

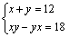
4.一个两位数,它的数字之和为12,如果把十位数字与个位数字对换,所得的新数就比原数小18,求这个两位数的个位数字x和十位数字y的方程组为( ).

(A) (B)

(C) (D)

试题详情


同步练习册答案