题目列表(包括答案和解析)

 0  95287  95295  95301  95305  95311  95313  95317  95323  95325  95331  95337  95341  95343  95347  95353  95355  95361  95365  95367  95371  95373  95377  95379  95381  95382  95383  95385  95386  95387  95389  95391  95395  95397  95401  95403  95407  95413  95415  95421  95425  95427  95431  95437  95443  95445  95451  95455  95457  95463  95467  95473  95481  447348 

15.(12分)设是锐角,

(1)求的值;

(2)求的值。           

试题详情

14.如图,正三角形⊿P1P2P3,点A、B、C分别为

边P1P2,P2P3,P3P1的中点,沿AB、BC、CA

折起,使P1、P2、P3三点重合后为点P,则折

起后二面角P-AB-C的余弦值为    

试题详情

13.下面有五个命题:

① 函数y=sin4x-cos4x的最小正周期是

② 终边在y轴上的角的集合是{a|a=}。

③ 在同一坐标系中,函数y=sinx的图象和函数y=x的图象有三个公共点。

④ 把函数

⑤ 函数

其中正确命题的序号是        (写出所有正确命题的序号)

试题详情

12. 已知是偶函数,且时,,则x < 0时,=    

试题详情

11. 已知集合,集合,则        。

试题详情

10.已知在同一周期内,当,则此函数的解析式为(   )。

A.            B.

C.            D.

试题详情

9. 若平面向量的夹角是180°,且,则等于(  )

A.      B.       C.       D.

试题详情

8.已知是直线,是平面,给出下列命题

① 若,则;  

 ② 若;     

③ 若

④ 若,则;  其中正确命题的个数是(   )

A.4个        B.3个       C.2个        D.1个

试题详情

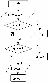
7. 给出如右图所示的一个程序框图,该程序框图的功能是(  )

A. 求三数中的最大数 

B. 求三数中的最小数

C. 将按从小到大排列 

D. 将按从大到小排列

试题详情

6.调查表明,酒后驾驶是导致交通事故的主要原因,交通法规规定:驾驶员在驾驶机动车时血液中酒精含量不得超过。如果某人喝了少量酒后,血液中酒精含量将迅速上升到,在停止喝酒后,血液中酒精含量就以每小时的速度减少,则他至少要经过(   )小时后才可以驾驶机动车。

A.1       B.2         C.3          D.4

试题详情


同步练习册答案