0  164567  164575  164581  164585  164591  164593  164597  164603  164605  164611  164617  164621  164623  164627  164633  164635  164641  164645  164647  164651  164653  164657  164659  164661  164662  164663  164665  164666  164667  164669  164671  164675  164677  164681  164683  164687  164693  164695  164701  164705  164707  164711  164717  164723  164725  164731  164735  164737  164743  164747  164753  164761  447090 

14.已知定义在R上的函数满足,且当

,则不等式的解集为       

试题详情

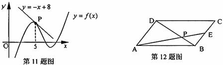
13.在平行四边形ABCD中,已知,点E是BC的中点,AE与BD相交于点P,则     

试题详情

12.如图,函数的图象在点P处的切线方程是,则=    .

   

试题详情

11.不等式的解集为_________

试题详情

9.如果数列满足,且(≥2),则这个数列的第10项等于                           (   )

    A.        B.         C.         D.

1,3,5
 
10.已知函数,正实数成公差为正数的等差数列,且满足,若实数是方程的一个解,那么下列不等式中不可能成立的是                   (   )

    A.       B.       C.       D.

第Ⅱ卷(非选择题  共100分)

1,3,5
 
二、填空题(本大题共7小题,每小题4分,共28分,请将答案填在题中的横线上)

试题详情

8.已知定义在R上的函数满足,则  ( )

    A.        B.         C.1         D.不存在

试题详情

7.函数,则函数的一个单调递增区间是(   )

  A.[,]   B.[,]    C.[,]     D.[,]

试题详情

6.等比数列项的积为,若是一个确定的常数,那么数列中也是常数的项是                                                 (   )

    A.          B.          C.         D.

试题详情

5.已知复数,则的值是(   )

     A.8          B.         C.         D.

试题详情

4.已知函数的图象关于直线对称,且当时,,那么当时,                             (   )

    A.     B.       C.     D.

试题详情


同步练习册答案