0  166040  166048  166054  166058  166064  166066  166070  166076  166078  166084  166090  166094  166096  166100  166106  166108  166114  166118  166120  166124  166126  166130  166132  166134  166135  166136  166138  166139  166140  166142  166144  166148  166150  166154  166156  166160  166166  166168  166174  166178  166180  166184  166190  166196  166198  166204  166208  166210  166216  166220  166226  166234  447090 

15.若函数是奇函数,则            

试题详情

14.当时,函数的值域是         

试题详情

13.若上是减函数,则实数的值的集合是   

试题详情

12.已知函数在区间上是的减函数,则的取值范围是(  )

A.            B.            C.            D.

第II卷(非选择题,共90分)

试题详情

11.根据表格中的数据,可以判定方程的一个根所在的区间为(  )



0
1
2
3

0.37
1
2.72
7.39
20.09

1
2
3
4
5

A.           B.            C.            D.

试题详情

10.关于的方程有实数根,则的取值范围是(  )

A.                      B.

C.                    D.

试题详情

9.三个数的大小顺序是(  )

A.           B.

C.           D.

试题详情

8.函数的递增区间是(  )

A.           B.          C.          D.

试题详情

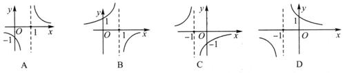
7.函数的图象是(   )

试题详情

6.已知幂函数的图象经过点,则的值等于(  )

A.16              B.             C.              D.2

试题详情


同步练习册答案