0  311199  311207  311213  311217  311223  311225  311229  311235  311237  311243  311249  311253  311255  311259  311265  311267  311273  311277  311279  311283  311285  311289  311291  311293  311294  311295  311297  311298  311299  311301  311303  311307  311309  311313  311315  311319  311325  311327  311333  311337  311339  311343  311349  311355  311357  311363  311367  311369  311375  311379  311385  311393  447090 

8.Fe3+、SO2-4、Mg2+和X四种离子以物质的量之比1:2:1:1大量共存于同一溶液中,X可能是                         (   )

    A.NH+4          B.OH-           C.CO2-3       D.Cl-

试题详情

7.化学学习方法中的类推法是由已学知识通过迁移构建新知识的方法。下列类比正确的是

                                                                (   )

    A.CaCO3与稀HNO3反应生成CO2,CaSO3也能与稀HNO3反应生成SO2

    B.铜在氯气中剧烈燃烧生成二价铜,铜也能在硫蒸气中剧烈燃烧生成二价铜

    C.钠与乙醇反应产生氢气,钾与乙醇也能反应产生氢气

    D.锌可以与溶液中的银离子发生置换反应,钠也能与溶液中的银离子发生置换反应

试题详情

6.常温时,纯水中由水电离出的c(H+)=a mol·L-1,pH=1的盐酸中由水电离的c(H+)=b mol·L-1,0.1mol·L-1的盐酸与0.1mol·L-1的氨水等体积混合后,由水电离的c(H+)=c mol·L-1,则a、b、c的关系正确的是                        (   )

    A.                      B.c>a>b

    C.c>b>a                         D.b>c>a

试题详情

5.用可溶性钡盐检验SO2-4的存在时,先在待测溶液中加入盐酸,其作用是      (   )

    A.形成较多的白色沉淀

    B.形成的沉淀纯度更高

    C.排除Ba2+以外的其它阳离子的干扰

    D.排除SO2-4以外的其它阴离子及Ag+的干扰

试题详情

4.下列说法错误的是                                               (   )

    A.原子晶体中只能存在非极性共价键

    B.离子晶体在熔化状态下能导电

    C.金属晶体通常具有导电、导热和良好的延展性

    D.分子晶体的状态变化,只需克服分子间作用力

试题详情

3.下列有关化学用语使用正确的是                                     (   )

    A.质量数为37的氯原子:Cl

      B.Al(OH)3的电离方程式:H++AlO-2+H2O     Al(OH)3    Al3++3OH-

    C.CH4Si的结构式:

   

    D.次氯酸分子的电子式

试题详情

2.NA代表阿伏加德罗常数,以下说法正确的是                           (   )

    A.在25°C、1.01×105Pa时,11.2氮气所含的原子数目为NA

    B.18g水所含的电子数目为NA

    C.121gCCl2F2所含的氯原子数为2NA

    D.醋酸的摩尔质量与NA个醋酸分子的质量在数值上不相等

试题详情

1.社会生活中有许多化学问题,下列说法不正确的是                       (   )

    A.加热能杀死流感病毒是因为病毒的蛋白质受热变性

    B.几含有食品添加剂的食物对人体健康均有害,不可食用

    C.为防止电池中的重金属等污染土壤和水体,应积极开发废电池的综合利用技术

    D.研发利用高效低毒的农药,可以降低蔬菜的农药残留量

试题详情

 例12 三个绝缘的不带电的相同的金属球A,B,C靠在一起,如图8-11所示,再将一个带正电的物体从左边靠近A球,并固定好,再依次拿走C球、B球、A球,问:这三个金属球各带什么电?并比较它们带电量的多少。

 [错解分析]错解:

 将带正电的物体靠近A球,A球带负电,C球带正电,B球不带电。将C,B,A三球依次拿走,C球带正电,B球不带电,A球带负电,QA=QC

 认为将C球拿走后,A,B球上所带电量不改变。其实,当C球拿走后,A,B球原来的静电平衡已被破坏,电荷将要重新运动,达到新的静电平衡。

 [正确解答]

 将带正电的物体靠近A,静电平衡后,A,B,C三球达到静电平衡,C球带正电,A球带负电,B球不带电。当将带正电的C球移走后,A,B两球上的静电平衡被打破,B球右端电子在左端正电的物体的电场的作用下向A运动,形成新的附加电场,直到与外电场重新平衡时为止。此时B球带正电,A球所带负电将比C球移走前多。依次将C,B,A移走,C球带正电,B球带少量正电,A球带负电,且A球带电量比C球带电量多。

|QA|=|QB|+|QC|

 [小结]

 在学习牛顿第二定律时,当外力发生变化时,加速度就要发生变化。这种分析方法不仅适用于力学知识,而且也适用于电学知识,本题中移去C球,电场发生了变化,电场力相应的发生了变化,要重新对物理过程进行分析,而不能照搬原来的结论。

 例13 如图8-12所示,当带电体A靠近一个绝缘导体B时,由于静电感应,B两端感应出等量异种电荷。将B的左端接地,绝缘导体B带何种电荷?

 [错解分析]错解:对于绝缘体B,由于静电感应左端带负电,右端带正电。左端接地,左端电荷被导走,导体B带正电。

 将导体B孤立考虑,左端带负电,右端带正电,左端接地后左边电势比地电势低,所以负电荷将从电势低处移到电势高处。即绝缘体B上负电荷被导走。

 [正确解答]

 因为导体B处于正电荷所形成的电场中,而正电荷所形成的电场电势处处为正,所以导体B的电势是正的,UB>U;而负电荷在电场力的作用下总是从低电势向高电势运动,B左端接地,使地球中的负电荷(电子)沿电场线反方向进入高电势B导体的右端与正电荷中和,所以B导体将带负电荷。

 例14 如图8-13所示,质量为m,带电量为q的粒子,以初速度v0,从A点竖直向上射入真空中的沿水平方向的匀强电场中,粒子通过电场中B点时,速率vB=2v0,方向与电场的方向一致,则A,B两点的电势差为:

 

 [错解分析]错解:带电粒子在电场中运动,一般不考虑带电粒子的重力,根据动能定理,电场力所做的功等于带电粒子动能的增量,电势差等于动能增量与电量Q的比值,应选D。

 带电粒子在电场中运动,一般不考虑带电粒子的重力,则粒子在竖直方向将保持有速度v0,粒子通过B点时不可能有与电场方向一致的2v0,根据粒子有沿场强方向的速度2v0,则必是重力作用使竖直向上的速度变为零。如一定不考虑粒子重力,这只有在电场无限大,带电粒子受电场力的作用,在电场方向上的速度相比可忽略不计的极限状态,且速度沿电场方向才能成立。而本题中v0与vB相比不能忽略不计,因此本题应考虑带电粒子的重力。

 [正确解答]

 在竖直方向做匀减速直线运动:2gh = v02

 

 根据动能定理

 

 [小结]

 根据初、末速度或者运动轨迹判断物体的受力情况是解决与运动关系问题的基本功。即使在电学中,带电粒子的运动同样也要应用这个基本功。通过这样一些题目的训练,多积累这方面的经验,非常必要。

 例15 置于真空中的两块带电的金属板,相距1cm,面积均为10cm2,带电量分别为Q1=2×10-8C,Q2=-2×10-8C,若在两板之间的中点放一个电量q=5×10-9C的点电荷,求金属板对点电荷的作用力是多大?

 [错解分析]错解:点电荷受到两板带电荷的作用力,此二力大小相等,方向相同,由

 库仑定律只适用于点电荷间相互作用,本题中两个带电金属板面积较大,相距较近,不能再看作是点电荷,应用库仑定律求解就错了。

 [正确解答]

 两个平行带电板相距很近,其间形成匀强电场,电场中的点电荷受到电场力的作用。

 

 [小结]

 如果以为把物理解题当作算算术,只要代入公式就完事大吉。那就走入了学习物理的误区。

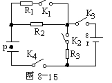
 例16 如图8-15电路中,电键K1,K2,K3,K4均闭合,在平行板电容器C的极板间悬浮着一带电油滴P,

 (1)若断开K1,则P将__________;

 (2)若断开K2,则P将________;

 (3)若断开K3,则P将_________;

 (4)若断开K4,则P将_______。

 [错解分析]错解:(1)若断开K1,由于R1被断开,R2上的电压将增高,使得电容器两端电压下降,则P将向下加速运动。

 (2)若断开K2,由于R3被断开,R2上的电压将增高,使得电容器两端电压下降,则P将向下加速运动。

 (3)若断开K3,由于电源被断开,R2上的电压将不变,使得电容器两端电压不变,则P将继续悬浮不动。

 (4)若断开K4,由于电源被断开,R2上的电压将变为零,使得电容器两端电压下降,则P将加速下降。

 上述四个答案都不对的原因是对电容器充放电的物理过程不清楚。尤其是充电完毕后,电路有哪些特点不清楚。

 [正确解答]

 电容器充电完毕后,电容器所在支路的电流为零。电容器两端的电压与它所并联的两点的电压相等。本题中四个开关都闭合时,有R1,R2两端的电压为零,即R1,R2两端等势。电容器两端的电压与R3两端电压相等。

 (1)若断开K1,虽然R1被断开,但是R2两端电压仍为零,电容器两端电压保持不变,则P将继续悬浮不动

 (2)若断开K2,由于R3被断开,电路再次达到稳定时,电容器两端电压将升高至路端电压R2上的电压仍为零,使得电容器两端电压升高,则P将向上加速运动。

 (3)若断开K3,由于电源被断开,电容器两端电压存在一个回路,电容器将放电至极板两端电压为零,P将加速下降。

 (4)K4断开,电容器两端断开,电量不变,电压不变,场强不变,P将继续悬浮不动。

 [小结]

 在解决电容器与直流电路相结合的题目时,要弄清楚电路的结构,还要会用静电场电势的观点分析电路,寻找等势点简化电路。

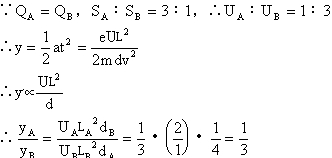
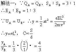
 例17 有两个带电量相等的平行板电容器A和B,它们的正对面积之比SA∶SB=3∶1,板长之比∶LA∶LB=2∶1,两板距离之比dA∶dB=4∶1,两个电子以相同的初速度沿与场强垂直的方向分别射入两电容器的匀强电场中,并顺利穿过电场,求两电子穿越电场的偏移距离之比。

 [错解分析]错解:

 

 把电容器的电压看成是由充电电量和两板正对面积决定而忽视了板间距离对电压的影响,所以电压比和偏离比都搞错了。

 [正确解答]

    

 [小结]

 高考中本题只能作为一道选择题(或填空题)出现在试卷上。很多考生为了腾出时间做大题,急急忙忙不做公式推导,直接用数字计算导致思考问题不全面,以至会做的题目得不到分。同时按部就班解题,养成比较好的解题习惯,考试时就会处变不惊,稳中求准,稳中求快。

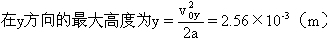
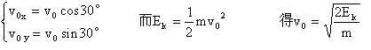
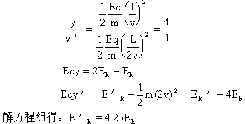
 例18 在平行板电容器之间有匀强电场,一带电粒子以速度v垂直电场线射入电场,在穿越电场的过程中,粒子的动能由Ek增加到2Ek,若这个带电粒子以速度2v垂直进入该电场,则粒子穿出电场时的动能为多少?

 [错解分析]错解:设粒子的的质量m,带电量为q,初速度v;匀强电场为E,在y方向的位移为y,如图8-16所示。

 认为两次射入的在Y轴上的偏移量相同。实际上,由于水平速度增大带电粒子在电场中的运动时间变短。在Y轴上的偏移量变小。

 [正确解答]

 建立直角坐标系,初速度方向为x轴方向,垂直于速度方向为y轴方向。设粒子的的质量m,带电量为q,初速度v;匀强电场为E,在y方向的位移为y。速度为2v时通过匀强电场的偏移量为y′,平行板板长为L。

 由于带电粒子垂直于匀强电场射入,粒子做类似平抛运动。

 

 两次入射带电粒子的偏移量之比为

 

 [小结]

 当初始条件发生变化时,应该按照正确的解题步骤,从头再分析一遍。而不是想当然地把上一问的结论照搬到下一问来。由此可见,严格地按照解题的基本步骤进行操作,能保证解题的准确性,提高效率。其原因是操作步骤是从应用规律的需要归纳出来的。

 例19 A,B两块平行带电金属板,A板带负电,B板带正电,并与大地相连接,P为两板间一点。若将一块玻璃板插入A,B两板间,则P点电势将怎样变化。

 [错解分析]错解:

 UpB=Up-UB=Ed

 电常数ε增大,电场强度减小,导致Up下降。

 没有按照题意画出示意图,对题意的理解有误。没有按照电势差的定义来判断PB两点间电势差的正负。

 [正确解答]

 按照题意作出示意图,画出电场线,图8-17所示。

 我们知道电场线与等势面间的关系:“电势沿着电场线的方向降落”所以UpB=Up-UB<0,B板接地UB=0

 UBp=UB-Up=0-Up

 Up=-Ed

 常数ε增大,电场强度减小,导致Up上升。

 [小结]

 如何理解PB间的电势差减小,P点的电势反倒升高呢?请注意,B板接地Up<0,PB间的电势差减小意味着Up比零电势降落得少了。其电势反倒升高了。

 例20、 1000eV的电子流在两极板中央斜向上方进入匀强电场,电场方向竖直向上,它的初速度与水平方向夹角为30°,如图8-18。为了使电子不打到上面的金属板上,应该在两金属板上加多大电压U?

 [错解分析]错解:

 电子流在匀强电场中做类似斜抛运动,设进入电场时初速度为v0

 

 因为电子流在电场中受到竖直向下电场力作用,动能减少。欲使电子刚好打不到金属板上有Vr=0,此时电子流动能

   

 电子流在电场中受到电场力作用,电场力对电子做功We= Fes = eEs其中s必是力的方向上位移,即d/2,所以We=eU,U是对应沿d方向电势降落。则电子从C到A,应对应We=eUAC,故上面解法是错误的。

 [正确解答]

 电子流在匀强电场中做类似斜抛运动,欲使电子刚好不打金属板上,则必须使电子在d/2内竖直方向分速度减小到零,设此时加在两板间的电压为U,在电子流由C到A途中,

 电场力做功We=EUAC,由动能定理

 

 

 至少应加500V电压,电子才打不到上面金属板上。

 [小结]

 动能定理是标量关系式。不能把应用牛顿定律解题方法与运用动能定理解题方法混为一谈。

 例21 如图8-19,一个电子以速度v0=6.0×106m/s和仰角α=45°从带电平行板电容器的下板边缘向上板飞行。两板间场强E= 2.0×104V/m,方向自下向上。若板间距离d=2.0×10-2m,板长L=10cm,问此电子能否从下板射至上板?它将击中极板的什么地方?

 [错解分析]错解:规定平行极板方向为x轴方向;垂直极板方向为y轴方向,将电子的运动分解到坐标轴方向上。由于重力远小于电场力可忽略不计,则y方向上电子在电场力作用下做匀减速运动,速度最后减小到零。

∵vt2-v02 = 2as

y= d= s vt= 0

 

 即电子刚好击中上板,击中点离出发点的水平位移为3.99×10-2(m)。

 为d,(击中了上板)再求y为多少,就犯了循环论证的错误,修改了原题的已知条件。

 [正确解答]

 应先计算y方向的实际最大位移,再与d进行比较判断。

 

  

 由于ym<d,所以电子不能射至上板。

 

 [小结] 因此电子将做一种抛物线运动,最后落在下板上,落点与出发点相距1.03cm。

 斜抛问题一般不要求考生掌握用运动学方法求解。用运动的合成分解的思想解此题,也不是多么困难的事,只要按照运动的实际情况把斜抛分解为垂直于电场方向上的的匀速直线运动,沿电场方向上的坚直上抛运动两个分运动。就可以解决问题。

 例22 一个质量为m,带有电荷-q的小物块,可在水平轨道Ox上运动,O端有一与轨道垂直的固定墙,轨道处于匀强电场中,场强大小为E,方向沿Ox轴正方向,如图8-20所示,小物体以初速v0从x0沿Ox轨道运动,运动时受到大小不变的摩擦力f作用,且f<qE。设小物体与墙碰撞时不损失机械能且电量保持不变。求它在停止运动前所通过的总路程s。

 [错解分析]错解:错解一:物块向右做匀减速运动到停止,有

 

 错解二:小物块向左运动与墙壁碰撞后返回直到停止,有W=△Ek,得

 

 错误的要害在于没有领会题中所给的条件f>Eq的含义。当物块初速度向右时,先减速到零,由于f<Eq物块不可能静止,它将向左加速运动,撞墙后又向右运动,如此往复直到最终停止在轨道的O端。初速度向左也是如此。

 [正确解答]

 设小物块从开始运动到停止在O处的往复运动过程中位移为x0,往返路程为s。根据动能定理有

 

 [小结]

 在高考试卷所检查的能力中,最基本的能力是理解能力。读懂题目的文字并不困难,难的是要抓住关键词语或词句,准确地在头脑中再现题目所叙述的实际物理过程。常见的关键词语有:“光滑平面、缓慢提升(移动)、伸长、伸长到、轻弹簧、恰好通过最高点等”这个工作需要同学们平时多积累。并且在做新情境(陌生题)题时有意识地从基本分析方法入手,按照解题的规范一步一步做,找出解题的关键点来。提高自己的应变能力。

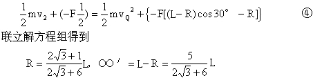
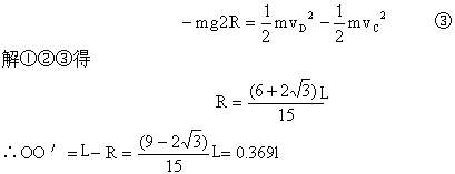
 例23 如图8-21所示,长为L的绝缘细线,一端悬于O点,另一端连接一质量为m的带负电小球,置于水平向右的匀强电场中,在O点向右水平拉直后从静止释放,细线碰到钉子后要使小球刚好饶钉子O′在竖直平面内作圆周运动,求OO′长度。

 [错解分析]错解:摆球从A落下经B到C的过程中受到重力G,绳子的拉力T和电场力F三个力的作用,并且重力和电场力做功,拉力不做功,由动能定理

 

 摆球到达最低点时,摆线碰到钉子O′后,若要小球刚好绕钉子O′在竖直平面内做圆周运动,如图8-22。则在最高点D应满足:

 从C到D的过程中,只有重力做功(负功),由机械能守恒定律

 

 考生以前做过不少“在重力场中释放摆球。摆球沿圆弧线运动的习题”。受到这道题思维定势的影响,没能分析出本题的摆球是在重力场和电场叠加场中运动。小球同时受到重力和电场力的作用,这两个力对摆球运动轨迹都有影响。受“最高点”就是几何上的最高点的思维定势的影响,没能分析清楚物理意义上的“最高点”含义。在重力场中应是重力方向上物体运动轨迹的最高点,恰好是几何意义上的最高点。而本题中,“最高点”则是重力与电场力的合力方向上摆球运动的轨迹的最高点。

 [正确解答]

 本题是一个摆在重力场和电场的叠加场中的运动问题,由于重力场和电场力做功都与路径无关,因此可以把两个场叠加起来看成一个等效力场来处理,如图8-23所示,

 ∴θ=60°。

 开始时,摆球在合力F的作用下沿力的方向作匀加速直线运动,从A点运动到B点,由图8-23可知,△AOB为等边三角形,则摆球从A到B,在等效力场中,由能量守恒定律得:

 在B点处,由于在极短的时间内细线被拉紧,摆球受到细线拉力的冲量作用,法向分量v2变为零,切向分量

 接着摆球以v1为初速度沿圆弧BC做变速圆周运动,碰到钉子O′后,在竖直平面内做圆周运动,在等效力场中,过点O′做合力F的平行线与圆的交点为Q,即为摆球绕O′点做圆周运动的“最高点”,在Q点应满足

 过O点做OP⊥AB取OP为等势面,在等效力场中,根据能量守恒定律得:

 

 [小结]

 用等效的观点解决陌生的问题,能收到事半功倍的效果。然而等效是有条件的。在学习交流电的有效值与最大值的关系时,我们在有发热相同的条件将一个直流电的电压(电流)等效于一个交流电。本题中,把两个场叠加成一个等效的场,前提条件是两个力做功都与路径无关。

试题详情

15.需恒温但不高于100℃,可用水浴加热。如溶解度的测定、苯与混合酸的反应、酚醛树脂

   的制备、银镜反应的发生等。

试题详情


同步练习册答案