0  422914  422922  422928  422932  422938  422940  422944  422950  422952  422958  422964  422968  422970  422974  422980  422982  422988  422992  422994  422998  423000  423004  423006  423008  423009  423010  423012  423013  423014  423016  423018  423022  423024  423028  423030  423034  423040  423042  423048  423052  423054  423058  423064  423070  423072  423078  423082  423084  423090  423094  423100  423108  447090 

11.(上海生物)右图表示一草原土壤中硝酸盐含量与牧草数量的关系。土壤中硝酸盐含量下降的原因是

A.消费者排泄量增加   B.牧草的根增加

C.分解者数量增加    D.牧草枯死量增加

答案:B

试题详情

6.(上海生物)沙漠植物常具有较小的叶片,且叶片的气孔较小。这是利于

A.减少呼吸作用     B.减少水分散失   C.提高光合作用效率   D.不被动物食用

答案:B

试题详情

28.(宁夏理综)II.同一品种的西瓜种植在非生物因素相同的两块土地上,但单位面积产量差别很大,为了探究两块土地上产量不同的原因,请根据所学知识提出一个值得研究的课题(要求写出课题的题目)。

答案: II.(3分)  病虫害对西瓜产生影响的研究(3分)(本题答案有多种,只要合理就给分)

试题详情

6.(江苏生物)下列关于生态因素对生物影响的说法错误的是

A.趋光性是农业害虫的共性    B.温暖地区的阔叶林多,而寒冷地区的针叶林多

C.水分过多或过少都会影响陆生生物的生长和发育 D.各种生态因素对生物的影响具有综合性

答案:A

试题详情

15.(江苏生物)果蝇的体色由常染色体上一对等位基因控制,基因型BB、Bb为灰身,bb为黑身。若人为地组成一个群体,其中80%为BB的个体,20%为bb的个体,群体随机交配,其子代中Bb的比例是

   A.25%     B.32%      C.50%     D.64%

答案:B

第八章  生物与坏境

第一节 生态因素

(理综II)5.右图纵向表示海洋不同深度中鱼类的食物分布状况,曲线

甲、乙、丙分别表示三种鱼的数量变化。下列对此图的分析,错误的是

A.海洋中的鱼类具有垂直分层现象

B.此图表明鱼类对食物的竞争状况

C.此图表明海洋中鱼类的捕食状况

D.此图表明海洋中鱼类的共生关系

答案:D

(宁夏理综)3.右图表示某一生态系统中,取食方式为吞食的三个物种随食物颗粒大小而产生的种群数量分布。下列对此图的分析,正确的是

A.三个物种的食物资源完全相同

B.物种甲与物种乙为竞争关系

C.物种丙与物种甲为捕食关系

D.能量流动方向由甲经乙到丙

答案:B

试题详情

25.(上海生物)下列有关遗传病的叙述中,正确的是

A.仅基因异常而引起的疾病      B.仅染色体异常而引起的疾病

C.基因或染色体异常而引起的疾病   D.先天性疾病就是遗传病

答案:C

研究性课题 调查人群中的遗传病

第七章  生物的进化

试题详情

1.(上海生物)我国控制人口增长的基本国策是

A.优生   B.教育   C.计划生育   D.降低出生率

答案:C

试题详情

50.(广东理基)人类遗传病种类较多,发病率高。下列选项中,属于染色体异常遗传病的是

A.抗维生素D佝偻病     B.苯丙酮尿症   C.猫叫综合症         D.多指症

答案:C

试题详情

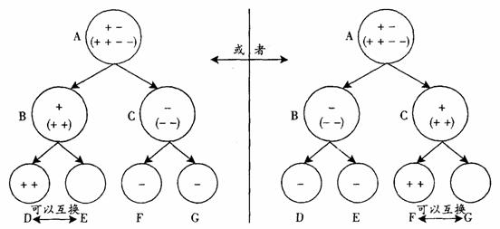
33.(广东生物)(7分)

   人21号染色体上的短串联重复序列(STR,一段核苷酸序列)可作为遗传标记对21三体综合症作出快速的基因诊断(遗传标记可理解为等位基因)。现有一个21三体综合症患儿,该遗传标记的基因型为++一,其父亲该遗传标记的基因型为+一,母亲该遗传标记的基因型为-一。请问:

(1)双亲中哪一位的21号染色体在减数分裂中未发生正常分离?

       。在减数分裂过程中,假设同源染色体的配对和分离是正常的,请在图中A一G处填写此过程中未发生正常分离一方的基因型(用十、一表示)。

(2)21三体综合症个体细胞中,21号染色体上的基因在表达时,它的转录是发生在      中。

(3)能否用显微镜检测出21三体综合症和镰刀型细胞贫血症?请说明其依据。

答案:(1)父亲,并正确填出图中A的基因型;正确填出图中B、C的基因型;正确填出图中D、E、F、G的基因型。(A、B、C圆圈中括号内、外的内容相对应)请严格参照下图评分:

(2)细胞核。

(3)能。在显微镜下,可观察到21三体综合症患者的细胞中染色体数目异常,镰刀型细胞贫血症患者的红细胞呈镰刀形。

(立意:考查考生对遗传学知识和技术的理解和掌握、构建知识网络的能力,获取相关生物学信息的能力,以及正确解释、判断相关遗传学现象和深入分析相关问题的能力。)

试题详情

18.(广东生物)囊性纤维化病是一种常染色体隐性遗传病。某对正常夫妇均有一个患该病的弟弟,但在家庭的其他成员中无该病患者。如果他们向你咨询他们的孩子患该病的概率有多大,你会怎样告诉他们?

A.“你们俩没有一人患病,因此你们的孩子也不会有患病的风险”

B.“你们俩只是该致病基因的携带者,不会影响到你们的孩子”

C.“由于你们俩的弟弟都患有该病,因此你们的孩子患该病的概率为1/9"

D.“根据家系遗传分析,你们的孩子患该病的概率为1/16"

答案:C

试题详情


同步练习册答案