题目列表(包括答案和解析)

 0  120156  120164  120170  120174  120180  120182  120186  120192  120194  120200  120206  120210  120212  120216  120222  120224  120230  120234  120236  120240  120242  120246  120248  120250  120251  120252  120254  120255  120256  120258  120260  120264  120266  120270  120272  120276  120282  120284  120290  120294  120296  120300  120306  120312  120314  120320  120324  120326  120332  120336  120342  120350  447348 

5.a=8,b=0,c=6

 

 1+3+a+b+4+5+6是9的倍数,即19+a+b是9的倍数,由此推出 a+b=8或a+b=17.当a+b=17时,只有8+9=17,而1389456、1398456均不被11整除,舍去.

 又(1+a+4+6)-(3+b+5)是11的倍数,即3+a-b是11的倍数,由此推出a-b=8或b-a=3.

 因为a+b与a-b是同奇、同偶,所以只有a+b=8与 a-b=8有解,此时a=8,b=0.

试题详情

4.168

 根据题设可知,生产上衣与生产裤子的工人人数之比为7∶4,所以生产上衣的人数为:

 66÷(7+4)×7=42(人)

 共生产服装

 4×42=168(套)

试题详情

3.196

 根据题设可知,参观人数应在(60×3+1=)181人到200人之间.又因为人数是一个平方数,且181至200之间只有196是平方数,所以196为所求.

试题详情

2.2

 如果三个顶点全取正方形顶点,则无论怎样套,三角形面积都是正方形面积的一半;

 如果一个顶点取在正方形的中心,则无论怎样套,三角形的面积都是正

 所以面积不同的三角形共有2种.

试题详情

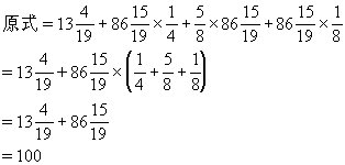
1.100

 

试题详情

4.有甲、乙、丙三组工人,甲组4人的工作,乙组需5人完成;乙组3人的工作,丙组需8人完成.一项工作,需甲组13人、乙组15人合作3天完成.如果让丙组10人去做,需要多少天完成?

模拟试卷23

试题详情

3.某人连续打工24天,挣了190元。星期一到星期五全天工作,日工资10元;星期六半天工作,发半资5元;星期日不工作,无工资.已知他打工是从3月下旬的某一天开始的,这个月的1日是星期日,那么他打工结束的那一天是4月几日?

试题详情

2.如图,九个小长方形组成一个大长方形,按图中编号,则1号长方形的面积恰好是1平方厘米,2号恰好是2平方厘米,3号恰好是3平方厘米,4号恰好是4平方厘米,5号恰好是5平方厘米,6号的面积是多少平方厘米?

 

试题详情

1.甲、乙、丙、丁四人共同购买一只价值4200元的游艇,甲支付的现

的现金是多少元?

试题详情

10.有一水果店一天之中共进了6筐水果,分别装着香蕉和桔子,重量分别为8、9、16、20、22、27千克.当天只卖出了一筐桔子.在剩下的五筐水果中香蕉的重量是桔子重量的2倍,那么当天共进了______筐香蕉.

试题详情


同步练习册答案