题目列表(包括答案和解析)

 0  120163  120171  120177  120181  120187  120189  120193  120199  120201  120207  120213  120217  120219  120223  120229  120231  120237  120241  120243  120247  120249  120253  120255  120257  120258  120259  120261  120262  120263  120265  120267  120271  120273  120277  120279  120283  120289  120291  120297  120301  120303  120307  120313  120319  120321  120327  120331  120333  120339  120343  120349  120357  447348 

9.一个正方形(如图),被分成四个长方形,它们的面积分别是平方米、平方米、平方米和平方米.图中的阴影部分是一个正方形,那么阴影部分的面积是________平方米。

试题详情

8.号码分别为101,126,173,193的四名运动员进行乒乓球比赛,规定每两人比赛的盘数是他们号码的和被3除所得的余数。那么,打球盘数最多的运动员打了________盘。

试题详情

7.在下面四个算式中,最大的得数应是________。

 

试题详情

6.把26,33,34,35,63,85,91,143分成若干组,要求每一组中任意两个数的最大约数是1,那么至少要分成________组。

试题详情

5.一个整数乘以13后,乘积的最后三位数是123,那么这样的整数中最小的是________。

试题详情

4.有八个数,是其中的六个。如果按从小到大顺序排列时,第四个数是,那么从大到小排列时,第四个数是________。

试题详情

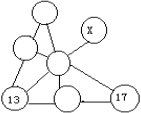
3.在下图的七个圆圈内各填一个数,要求每一条直线上的三个数中,当中的数是两边两个数的平均数。现在已经填好两个数,那么x=________。

 

试题详情

2.的最简分数是________。

试题详情

1.计算: =________。

试题详情

12.某种考试已举行的次数恰好是上题的答数,共出了426题。每次出题数有25题,或16题,或20题。那么,其中考25道题的有________次。

决 赛

试题详情


同步练习册答案