题目列表(包括答案和解析)

 0  120194  120202  120208  120212  120218  120220  120224  120230  120232  120238  120244  120248  120250  120254  120260  120262  120268  120272  120274  120278  120280  120284  120286  120288  120289  120290  120292  120293  120294  120296  120298  120302  120304  120308  120310  120314  120320  120322  120328  120332  120334  120338  120344  120350  120352  120358  120362  120364  120370  120374  120380  120388  447348 

8.π-2

 ∵SABCD=AB2=2(平方厘米), AC=2(厘米)

 

试题详情

7.882

 因为7938÷1134=7,因而7是另一个数的因子,所以,另一个数为126×7=882.

试题详情

6.119970或519975

 ∵45=5×9,

 

 ∴y只可取0或5.

 当y=0时,根据9|x11970及数的整除性质可知:x=1;

 当y=5时,根据9|x19975及数的整隐性质可知:x=5.

 ∴满足条件的六位数是119970或519975

试题详情

5.A=8,8888

 设这个自然数为x,则有:

 10x+6-x=7999A

 ∴9x=7999A-6.

 又∵等号右边是9的倍数,∴A=8,x=8888.

试题详情

3.7,8,9

 504=2×2×2×7×9=7×8×9

 

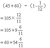
 分针走一圈60个格,时针走5个格.在九点时,分针指12,时针指9, 分针与时针第二次重合,就是使分针比时针多走45+60=105格,需要:

 

试题详情

2.1750米

 

试题详情

4.某小商店进了三种不同的果仁,所用的钱一样多.已知三种果仁的价钱分别是每斤7元、8元和9元,若将三种果仁混合后再卖,那么,混合后果仁的成本是每斤多少元?

模拟试卷40

试题详情

3.某班有26个女生,在期末考试中全班有34人超过95分,问:男生中超过95分的比女生中未超过95分的多几人?

试题详情

2.蔡明家有很多书,他把这些书借给同班同学看,他先借给了甲2本

试题详情


同步练习册答案