题目列表(包括答案和解析)

 0  120147  120155  120161  120165  120171  120173  120177  120183  120185  120191  120197  120201  120203  120207  120213  120215  120221  120225  120227  120231  120233  120237  120239  120241  120242  120243  120245  120246  120247  120249  120251  120255  120257  120261  120263  120267  120273  120275  120281  120285  120287  120291  120297  120303  120305  120311  120315  120317  120323  120327  120333  120341  447348 

4.不能

 将6×6的正方形网格进行黑白相间染色,黑白格各有18个.每个T字形盖住1个或3个白格,现有7个T字形,若盖住白格数为1的T字形有奇数个,那么盖住白格数为3的T字形是偶数个,奇数个1的和是奇数,偶数个3的和是偶数,所以7个T字形盖住的白格总数,由于奇+偶=奇,因此是奇数个;同理,若盖住白格数为1的T字形有偶数个,那么盖住白格数为3的T字形是奇数个,同样7个T字形盖住的白格总数是奇数个;而2个田字形盖住的白格总数是4,4是偶数,因此2个田字形和7个T字形覆盖的白格总数是奇数个,但6×6的正方形网格的白格数是18个,18是偶数,

 由于奇数≠偶数,所以用2个田字形和7个T字形不能覆盖6×6的正方形

 网格.

试题详情

2.编号是1、2、4、6、7的灯是亮的.

 对于亮着的灯,只要拉动偶数次开关仍是亮的,拉动奇数次开关是灭的;对于开始关闭的灯,只要拉动奇数次开关灯就亮,拉动偶数次开关仍是灭的.因为

 500÷8=62…4

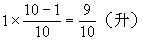
 说明这8盏灯各拉动62次后,编号为1、2、3、4的灯又拉动一次,由于62是偶数,所以原来亮的灯仍是亮的,灭的灯仍是灭的,即编号是3、6、7的灯各拉动62次后仍是亮的,其余灯是灭的,接着编号是1、2、3、4的灯各拉动一次,编号1、2、4的灯亮了,编号3的灯灭了,所以这8盏灯最后是1、2、4、6、7这五盏灯是亮的.3.容器内的酒精溶液浓度是72.9%第一次倒出纯酒精是1升,加上1升水后,变成酒精溶液,第二次倒出的溶液含纯酒精是:

 

 第三次倒出的溶液含纯酒精是:

 

 三次倒出后,容器里还有纯酒精是:

 

 这时容器内溶液的浓度是:

 

试题详情

1.甲、乙两码头间的距离是900千米.

 由于往返的路程相等,船从甲到乙每天航行300千米,从乙到甲每行航 知往返共22天,可得出从甲到乙行12天,从乙到甲用10天,而300×12+360×10相当于船在甲、乙两码头间往返4次所行的总路程,所以甲、乙两码头的距离.

 (300×12+360×10)÷4÷2=900(千米)

试题详情

10.61

 把长方形按比例缩小,由于

 420∶240=7∶4

 所以把长方形缩小成长7个小方格,宽4个小方格的小长方形,然后画一条对角线,如图,图中对角线经过2个格点,即对角线对长来讲,每经过7个小方格,就经过一个格点,或对宽来讲,每经过4个小方格,就经过一个格点,所以长方形的对角线经过的格点问题类似植树问题,共经过格点数:

 420÷7+1=61(个)(或240÷4+1=61(个))

试题详情

9.24

 由于只有两个面涂上红色的小长方体只能位于每条棱的中间部分,将长方体按下图进行分割:

 依次分割的小长方体的个数是36、32、30、24,则图(4)分割的块数最少是24块,且恰好有16个两面涂红色的小长方体.

试题详情

8.100

 因为 1997÷4=499…1,所以排尾同学报1,而1997÷5=399…2,所以排头同学报2.

 从右起第3名同学两次报数都是3,以后每

 相差[4,5]=20名同学两次报数都是3,那么将

 1997-3=1994人分成每20人一组,共可分成

 1994÷20=99…14

 99组,所以两次都报3的人数是99+1=100人.

试题详情

6.720

 第一枚硬币有18种放法;第二枚硬币只能有10种放法,因为这枚硬币放置时与第一枚不同行不同列;同理,第三枚硬币与前二枚硬币不同行也不同列,所以有4种放法.因此共有

 18×10×4=720(种)

 

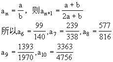
 这串数的规律是,从第2个数起,每一个数的分子是它前一个数的分子与分母之和,分母是它前一个数的分子的2倍再加分母.若设

 

试题详情

5. 144

 设原正方形的边长为x厘米,如图,由于正方形ABCD与长方形AEGH面积相等,而长方形AEFD是正方形ABCD和长方形AEGH的

 公共部分,所以长方形EBCF的面积等于长方形DFGH的面积,于是

 4x=6×(x-4)

 6x-4x=24

 x=12

 故原正方形的面积是:

 12×12=144(平方厘米).

试题详情

4.684

 36=32×4,A、B至少含有两个3和一个4.因为A有12个约数,12=2×6=3×4,所以A可能是35×4、32×43或33×42,B有8个约数,8=2×4,所以B=33×4,于是A只能是32×43,故

 A+B=32×43+33×4=684

试题详情

3.50

 要想分割的小正方体个数最少,就要使分割的小正方体的棱长尽可能大.如果小正方体的棱长是4厘米,只能分割出1个,剩下部分的体积是53-43=61立方厘米,只能分割成棱长为1厘米的小正方体,共61÷13=61个,按这种方法分割分成62个小正方体.若在已知正方体的一角分割一个棱长是3厘米的小正方体,剩下7个角可以分割出7个棱长为2厘米的小正方体,这时剩下部分的体积是

 53-33-7×23=42(立方厘米)

 这部分可以分割棱长是1厘米的小正方体42个,所以总共分割出小正方体个数是:

 1+7+42=50(个)

 比较上面两种方案,最少可以分割成50个小正方体.

试题详情


同步练习册答案