题目列表(包括答案和解析)

 0  120302  120310  120316  120320  120326  120328  120332  120338  120340  120346  120352  120356  120358  120362  120368  120370  120376  120380  120382  120386  120388  120392  120394  120396  120397  120398  120400  120401  120402  120404  120406  120410  120412  120416  120418  120422  120428  120430  120436  120440  120442  120446  120452  120458  120460  120466  120470  120472  120478  120482  120488  120496  447348 

6.改动一个符号,使得下列等式成立。

  (1)1+2+3+4+5+6+7+8+9=100

  (2)1+2+3+……+18+19+20=200

试题详情

5.已知:□+□+△+○=16

   □+△+△+○=13

   □+△+○+○=11

   □、△、○表示不同的自然数,如果三个等式都成立,则:□=( );△=( );○=( )。

试题详情

4.(1)用5个2列出一个加法算式,使它的和等于28。

   (2)用8个8列出一个加法算式,使它的和等于1000

试题详情

3.把下列竖式中的“*”改成相应的数字,使竖式成立。

试题详情

2.下面的等式中○和□分别表示两个不同的自然数,如果等式成立,那么○=( );□=( )。

 (○+□)+(○-□)+(○×□)+(○÷□)=100

试题详情

1.将1-7七个数字分别填入下列竖式的□内,使竖式成立。   

试题详情

10.一个三位数,个位数字是3,如果把个位数字移作百位数字,原百位数字移作十位数字;原十位数字移作个位数字,那么所成的新数比原数少171,求原数。

试题详情

9.有一个多位数,它的末位数字是4,如果把这个4移到最左边,得到的新数是原数的4倍,求原数。

试题详情

8.已知一个四位数abcd的9倍是dcba,求这个四位数。

试题详情

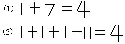
7.移动一根火柴,使下列等式能够成立。   

试题详情


同步练习册答案