题目列表(包括答案和解析)

 0  55322  55330  55336  55340  55346  55348  55352  55358  55360  55366  55372  55376  55378  55382  55388  55390  55396  55400  55402  55406  55408  55412  55414  55416  55417  55418  55420  55421  55422  55424  55426  55430  55432  55436  55438  55442  55448  55450  55456  55460  55462  55466  55472  55478  55480  55486  55490  55492  55498  55502  55508  55516  447348 

7.(2010天津理)(10) 如图,用四种不同颜色给图中的A,B,C,D,E,F六个点涂色,要求每个点涂一种颜色,且图中每条线段的两个端点涂不同颜色,则不同的涂色方法用

(A)288种  (B)264种  (C)240种  (D)168种

[答案]D

[解析]本题主要考查排列组合的基础知识与分类讨论思想,属于难题。

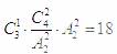
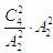
(1)    B,D,E,F用四种颜色,则有种涂色方法;

(2)    B,D,E,F用三种颜色,则有种涂色方法;

(3)    B,D,E,F用两种颜色,则有种涂色方法;

所以共有24+192+48=264种不同的涂色方法。

[温馨提示]近两年天津卷中的排列、组合问题均处理压轴题的位置,且均考查了分类讨论思想及排列、组合的基本方法,要加强分类讨论思想的训练。

试题详情

6.(2010四川理)(10)由1、2、3、4、5、6组成没有重复数字且1、3都不与5相邻的六位偶数的个数是

(A)72    (B)96     (C) 108     (D)144

[答案]C

解析:先选一个偶数字排个位,有3种选法

   ①若5在十位或十万位,则1、3有三个位置可排,3=24个

②若5排在百位、千位或万位,则1、3只有两个位置可排,共3=12个

算上个位偶数字的排法,共计3(24+12)=108个

试题详情

5.(2010北京理)(4)8名学生和2位第师站成一排合影,2位老师不相邻的排法种数为

(A)     (B)     (C)    (D)

[答案]A

试题详情

4.(2010重庆理)(9)某单位安排7位员工在10月1日至7日值班,每天1人,每人值班1天,若7位员工中的甲、乙排在相邻两天,丙不排在10月1日,丁不排在10月7日,则不同的安排方案共有

A.   504种    B.    960种    C.    1008种    D.  1108种    

解析:分两类:甲乙排1、2号或6、7号 共有种方法

甲乙排中间,丙排7号或不排7号,共有种方法

故共有1008种不同的排法

试题详情

3.(2010重庆文)(10)某单位拟安排6位员工在今年6月14日至16日(端午节假期)值班,每天安排2人,每人值班1天 . 若6位员工中的甲不值14日,乙不值16日,则不同的安排方法共有

(A)30种                   (B)36种

(C)42种                   (D)48种

解析:法一:所有排法减去甲值14日或乙值16日,再加上甲值14日且乙值16日的排法

       即=42

    法二:分两类

      甲、乙同组,则只能排在15日,有=6种排法

      甲、乙不同组,有=36种排法,故共有42种方法

试题详情

2.(2010全国卷2文)(9)将标号为1,2,3,4,5,6的6张卡片放入3个不同的信封中,若每个信封放2张,其中标号为1,2的卡片放入同一信封,则不同的方法共有

(A) 12种    (B) 18种    (C) 36种     (D) 54种

[答案] B

[解析]B:本题考查了排列组合的知识

∵先从3个信封中选一个放1,2有3种不同的选法,再从剩下的4个数中选两个放一个信封有,余下放入最后一个信封,∴共有

试题详情

1.(2010全国卷2理)(6)将标号为1,2,3,4,5,6的6张卡片放入3个不同的信封中.若每个信封放2张,其中标号为1,2的卡片放入同一信封,则不同的方法共有

(A)12种      (B)18种      (C)36种      (D)54种

[答案]B

[命题意图]本试题主要考察排列组合知识,考察考生分析问题的能力.

[解析]标号1,2的卡片放入同一封信有种方法;其他四封信放入两个信封,每个信封两个有种方法,共有种,故选B.

试题详情

2010年高考题

试题详情

4.(2010全国卷2理)(21)(本小题满分12分)

   己知斜率为1的直线l与双曲线C相交于BD两点,且BD的中点为

  (Ⅰ)求C的离心率;

  (Ⅱ)设C的右顶点为A,右焦点为F,证明:过ABD三点的圆与x轴相切.

[命题意图]本题主要考查双曲线的方程及性质,考查直线与圆的关系,既考查考生的基础知识掌握情况,又可以考查综合推理的能力.

试题详情


同步练习册答案