题目列表(包括答案和解析)

 0  77355  77363  77369  77373  77379  77381  77385  77391  77393  77399  77405  77409  77411  77415  77421  77423  77429  77433  77435  77439  77441  77445  77447  77449  77450  77451  77453  77454  77455  77457  77459  77463  77465  77469  77471  77475  77481  77483  77489  77493  77495  77499  77505  77511  77513  77519  77523  77525  77531  77535  77541  77549  447348 

3.分解因式:

 (1)(2x2-3x+1)2-22x2+33x-1;

 (2)x4+7x3+14x2+7x+1;

 (3)(x+y)3+2xy(1-x-y)-1;

 (4)(x+3)(x2-1)(x+5)-20.

本资料由《七彩教育网》 提供!

试题详情

3.分解因式:

 (1)(2x2-3x+1)2-22x2+33x-1;

 (2)x4+7x3+14x2+7x+1;

 (3)(x+y)3+2xy(1-x-y)-1;

 (4)(x+3)(x2-1)(x+5)-20.

第一讲 因式分解(一)

 多项式的因式分解是代数式恒等变形的基本形式之一,它被广泛地应用于初等数学之中,是我们解决许多数学问题的有力工具.因式分解方法灵活,技巧性强,学习这些方法与技巧,不仅是掌握因式分解内容所必需的,而且对于培养学生的解题技能,发展学生的思维能力,都有着十分独特的作用.初中数学教材中主要介绍了提取公因式法、运用公式法、分组分解法和十字相乘法.本讲及下一讲在中学数学教材基础上,对因式分解的方法、技巧和应用作进一步的介绍.

试题详情

2.分解因式:

 (1)x3+3x2-4;

 (2)x4-11x2y2+y2

 (3)x3+9x2+26x+24;

 (4)x4-12x+323.

试题详情

1.分解因式:

 

 (2)x10+x5-2;

 

 (4)(x5+x4+x3+x2+x+1)2-x5

试题详情

3.换元法

 换元法指的是将一个较复杂的代数式中的某一部分看作一个整体,并用一个新的字母替代这个整体来运算,从而使运算过程简明清晰.

 例6 分解因式:(x2+x+1)(x2+x+2)-12.

 分析 将原式展开,是关于x的四次多项式,分解因式较困难.我们不妨将x2+x看作一个整体,并用字母y来替代,于是原题转化为关于y的二次三项式的因式分解问题了.

 解 设x2+x=y,则

 原式=(y+1)(y+2)-12=y2+3y-10

  =(y-2)(y+5)=(x2+x-2)(x2+x+5)

  =(x-1)(x+2)(x2+x+5).

 说明 本题也可将x2+x+1看作一个整体,比如今x2+x+1=u,一样可以得到同样的结果,有兴趣的同学不妨试一试.

 例7 分解因式:

(x2+3x+2)(4x2+8x+3)-90.

 分析 先将两个括号内的多项式分解因式,然后再重新组合.

 解 原式=(x+1)(x+2)(2x+1)(2x+3)-90

    =[(x+1)(2x+3)][(x+2)(2x+1)]-90

    =(2x2+5x+3)(2x2+5x+2)-90.

 令y=2x2+5x+2,则

 原式=y(y+1)-90=y2+y-90

  =(y+10)(y-9)

  =(2x2+5x+12)(2x2+5x-7)

  =(2x2+5x+12)(2x+7)(x-1).

 说明 对多项式适当的恒等变形是我们找到新元(y)的基础.

 例8 分解因式:

(x2+4x+8)2+3x(x2+4x+8)+2x2

 解 设x2+4x+8=y,则

 原式=y2+3xy+2x2=(y+2x)(y+x)

  =(x2+6x+8)(x2+5x+8)

  =(x+2)(x+4)(x2+5x+8).

 说明 由本题可知,用换元法分解因式时,不必将原式中的元都用新元代换,根据题目需要,引入必要的新元,原式中的变元和新变元可以一起变形,换元法的本质是简化多项式.

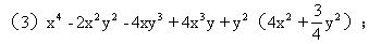
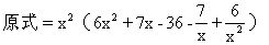
 例9 分解因式:6x4+7x3-36x2-7x+6.

 解法1 原式=6(x4+1)+7x(x2-1)-36x2

    =6[(x4-2x2+1)+2x2]+7x(x2-1)-36x2

    =6[(x2-1)2+2x2]+7x(x2-1)-36x2

    =6(x2-1)2+7x(x2-1)-24x2

    =[2(x2-1)-3x][3(x2-1)+8x]

    =(2x2-3x-2)(3x2+8x-3)

    =(2x+1)(x-2)(3x-1)(x+3).

 说明 本解法实际上是将x2-1看作一个整体,但并没有设立新元来代替它,即熟练使用换元法后,并非每题都要设置新元来代替整体.

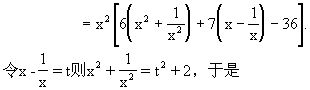
 解法2

    

  

 原式=x2[6(t2+2)+7t-36]

  =x2(6t2+7t-24)=x2(2t-3)(3t+8)

  =x2[2(x-1/x)-3][3(x-1/x)+8]

  =(2x2-3x-2)(3x2+8x-3)

  =(2x+1)(x-2)(3x-1)(x+3).

 例10 分解因式:(x2+xy+y2)-4xy(x2+y2).

 分析 本题含有两个字母,且当互换这两个字母的位置时,多项式保持不变,这样的多项式叫作二元对称式.对于较难分解的二元对称式,经常令u=x+y,v=xy,用换元法分解因式.

 解 原式=[(x+y)2-xy]2-4xy[(x+y)2-2xy].令x+y=u,xy=v,则

 原式=(u2-v)2-4v(u2-2v)

  =u4-6u2v+9v2

  =(u2-3v)2

  =(x2+2xy+y2-3xy)2

  =(x2-xy+y2)2

练习一

试题详情

2.拆项、添项法

 因式分解是多项式乘法的逆运算.在多项式乘法运算时,整理、化简常将几个同类项合并为一项,或将两个仅符号相反的同类项相互抵消为零.在对某些多项式分解因式时,需要恢复那些被合并或相互抵消的项,即把多项式中的某一项拆成两项或多项,或者在多项式中添上两个仅符合相反的项,前者称为拆项,后者称为添项.拆项、添项的目的是使多项式能用分组分解法进行因式分解.

 例4 分解因式:x3-9x+8.

 分析 本题解法很多,这里只介绍运用拆项、添项法分解的几种解法,注意一下拆项、添项的目的与技巧.

 解法1 将常数项8拆成-1+9.

 原式=x3-9x-1+9

  =(x3-1)-9x+9

  =(x-1)(x2+x+1)-9(x-1)

  =(x-1)(x2+x-8).

 解法2 将一次项-9x拆成-x-8x.

 原式=x3-x-8x+8

  =(x3-x)+(-8x+8)

  =x(x+1)(x-1)-8(x-1)

  =(x-1)(x2+x-8).

 解法3 将三次项x3拆成9x3-8x3

 原式=9x3-8x3-9x+8

  =(9x3-9x)+(-8x3+8)

  =9x(x+1)(x-1)-8(x-1)(x2+x+1)

  =(x-1)(x2+x-8).

 解法4 添加两项-x2+x2

 原式=x3-9x+8

  =x3-x2+x2-9x+8

  =x2(x-1)+(x-8)(x-1)

  =(x-1)(x2+x-8).

 说明 由此题可以看出,用拆项、添项的方法分解因式时,要拆哪些项,添什么项并无一定之规,主要的是要依靠对题目特点的观察,灵活变换,因此拆项、添项法是因式分解诸方法中技巧性最强的一种.

 例5 分解因式:

 (1)x9+x6+x3-3;

 (2)(m2-1)(n2-1)+4mn;

 (3)(x+1)4+(x2-1)2+(x-1)4

 (4)a3b-ab3+a2+b2+1.

 解 (1)将-3拆成-1-1-1.

 原式=x9+x6+x3-1-1-1

  =(x9-1)+(x6-1)+(x3-1)

  =(x3-1)(x6+x3+1)+(x3-1)(x3+1)+(x3-1)

  =(x3-1)(x6+2x3+3)

  =(x-1)(x2+x+1)(x6+2x3+3).

 (2)将4mn拆成2mn+2mn.

 原式=(m2-1)(n2-1)+2mn+2mn

  =m2n2-m2-n2+1+2mn+2mn

  =(m2n2+2mn+1)-(m2-2mn+n2)

  =(mn+1)2-(m-n)2

  =(mn+m-n+1)(mn-m+n+1).

 (3)将(x2-1)2拆成2(x2-1)2-(x2-1)2

 原式=(x+1)4+2(x2-1)2-(x2-1)2+(x-1)4

  =[(x+1)4+2(x+1)2(x-1)2+(x-1)4]-(x2-1)2

  =[(x+1)2+(x-1)2]2-(x2-1)2

  =(2x2+2)2-(x2-1)2=(3x2+1)(x2+3).

 (4)添加两项+ab-ab.

 原式=a3b-ab3+a2+b2+1+ab-ab

  =(a3b-ab3)+(a2-ab)+(ab+b2+1)

  =ab(a+b)(a-b)+a(a-b)+(ab+b2+1)

  =a(a-b)[b(a+b)+1]+(ab+b2+1)

  =[a(a-b)+1](ab+b2+1)

  =(a2-ab+1)(b2+ab+1).

 说明 (4)是一道较难的题目,由于分解后的因式结构较复杂,所以不易想到添加+ab-ab,而且添加项后分成的三项组又无公因式,而是先将前两组分解,再与第三组结合,找到公因式.这道题目使我们体会到拆项、添项法的极强技巧所在,同学们需多做练习,积累经验.

试题详情

1.运用公式法

 在整式的乘、除中,我们学过若干个乘法公式,现将其反向使用,即为因式分解中常用的公式,例如:

 (1)a2-b2=(a+b)(a-b);

 (2)a2±2ab+b2=(a±b)2

 (3)a3+b3=(a+b)(a2-ab+b2);

 (4)a3-b3=(a-b)(a2+ab+b2).

 下面再补充几个常用的公式:

 (5)a2+b2+c2+2ab+2bc+2ca=(a+b+c)2

 (6)a3+b3+c3-3abc=(a+b+c)(a2+b2+c2-ab-bc-ca);

 (7)an-bn=(a-b)(an-1+an-2b+an-3b2+…+abn-2+bn-1)其中n为正整数;

 (8)an-bn=(a+b)(an-1-an-2b+an-3b2-…+abn-2-bn-1),其中n为偶数;

 (9)an+bn=(a+b)(an-1-an-2b+an-3b2-…-abn-2+bn-1),其中n为奇数.

 运用公式法分解因式时,要根据多项式的特点,根据字母、系数、指数、符号等正确恰当地选择公式.

 例1 分解因式:

 (1)-2x5n-1yn+4x3n-1yn+2-2xn-1yn+4

 (2)x3-8y3-z3-6xyz;

 (3)a2+b2+c2-2bc+2ca-2ab;

 (4)a7-a5b2+a2b5-b7

 解 (1)原式=-2xn-1yn(x4n-2x2ny2+y4)

    =-2xn-1yn[(x2n)2-2x2ny2+(y2)2]

    =-2xn-1yn(x2n-y2)2

    =-2xn-1yn(xn-y)2(xn+y)2

 (2)原式=x3+(-2y)3+(-z)3-3x(-2y)(-Z)

    =(x-2y-z)(x2+4y2+z2+2xy+xz-2yz).

 (3)原式=(a2-2ab+b2)+(-2bc+2ca)+c2

   =(a-b)2+2c(a-b)+c2

   =(a-b+c)2

 本小题可以稍加变形,直接使用公式(5),解法如下:

 原式=a2+(-b)2+c2+2(-b)c+2ca+2a(-b)

  =(a-b+c)2

 (4)原式=(a7-a5b2)+(a2b5-b7)

    =a5(a2-b2)+b5(a2-b2)

    =(a2-b2)(a5+b5)

    =(a+b)(a-b)(a+b)(a4-a3b+a2b2-ab3+b4)

    =(a+b)2(a-b)(a4-a3b+a2b2-ab3+b4)

 例2 分解因式:a3+b3+c3-3abc.

 本题实际上就是用因式分解的方法证明前面给出的公式(6).

 分析 我们已经知道公式

(a+b)3=a3+3a2b+3ab2+b3

 的正确性,现将此公式变形为

a3+b3=(a+b)3-3ab(a+b).

 这个式也是一个常用的公式,本题就借助于它来推导.

 解 原式=(a+b)3-3ab(a+b)+c3-3abc

    =[(a+b)3+c3]-3ab(a+b+c)

    =(a+b+c)[(a+b)2-c(a+b)+c2]-3ab(a+b+c)

    =(a+b+c)(a2+b2+c2-ab-bc-ca).

 说明 公式(6)是一个应用极广的公式,用它可以推出很多有用的结论,例如:我们将公式(6)变形为

 a3+b3+c3-3abc

 

  

 显然,当a+b+c=0时,则a3+b3+c3=3abc;当a+b+c>0时,则a3+b3+c3-3abc≥0,即a3+b3+c3≥3abc,而且,当且仅当a=b=c时,等号成立.

 如果令x=a3≥0,y=b3≥0,z=c3≥0,则有

 等号成立的充要条件是x=y=z.这也是一个常用的结论.

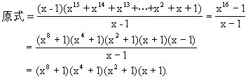
 例3 分解因式:x15+x14+x13+…+x2+x+1.

 分析 这个多项式的特点是:有16项,从最高次项x15开始,x的次数顺次递减至0,由此想到应用公式an-bn来分解.

 解 因为

 x16-1=(x-1)(x15+x14+x13+…x2+x+1),

 所以

 

 说明 在本题的分解过程中,用到先乘以(x-1),再除以(x-1)的技巧,这一技巧在等式变形中很常用.

试题详情

3.用待定系数法分解因式:

 (1)2x2+3xy-9y2+14x-3y+20;

 (2)x4+5x3+15x-9.

本资料由《七彩教育网》 提供!

试题详情

2.用求根法分解因式:

 (1)x3+x2-10x-6;

 (2)x4+3x3-3x2-12x-4;

 (3)4x4+4x3-9x2-x+2.

试题详情

1.用双十字相乘法分解因式:

 (1)x2-8xy+15y2+2x-4y-3;

 (2)x2-xy+2x+y-3;

 (3)3x2-11xy+6y2-xz-4yz-2z2

试题详情


同步练习册答案