题目列表(包括答案和解析)

 0  77314  77322  77328  77332  77338  77340  77344  77350  77352  77358  77364  77368  77370  77374  77380  77382  77388  77392  77394  77398  77400  77404  77406  77408  77409  77410  77412  77413  77414  77416  77418  77422  77424  77428  77430  77434  77440  77442  77448  77452  77454  77458  77464  77470  77472  77478  77482  77484  77490  77494  77500  77508  447348 

8.已知13x2-6xy+y2-4x+1=0,求(x+y)13·x10的值.

本资料由《七彩教育网》 提供!

试题详情

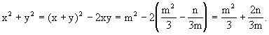
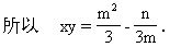
5.设a+b+c=3m,求(m-a)3+(m-b)3+(m-c)3-3(m-a)(m-b)(m-c)的值.

 

  

试题详情

3.已知a-b+c=3,a2+b2+c2=29,a3+b3+c3=45,求ab(a+b)+bc(b+c)+ca(c+a)的值.

 

试题详情

2.已知x+y=a,x2+y2=b2,求x4+y4的值.

试题详情

5.利用分式、根式的性质求值

 分式与根式的化简求值问题,内容相当丰富,因此设有专门讲座介绍,这里只分别举一个例子略做说明.

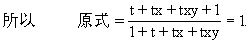
 例10 已知xyzt=1,求下面代数式的值:

 

 分析 直接通分是笨拙的解法,可以利用条件将某些项的形式变一变.

 解 根据分式的基本性质,分子、分母可以同时乘以一个不为零的式子,分式的值不变.利用已知条件,可将前三个分式的分母变为与第四个相同.

 同理

  

  

 分析 计算时应注意观察式子的特点,若先分母有理化,计算反而复杂.因为这样一来,原式的对称性就被破坏了.这里所言的对称性是分利用这种对称性,或称之为整齐性,来简化我们的计算.

 

 同样(但请注意算术根!)

 

 将①,②代入原式有

  

 

练习六

 

试题详情

4.利用非负数的性质求值

 若几个非负数的和为零,则每个非负数都为零,这个性质在代数式求值中经常被使用.

 例8 若x2-4x+|3x-y|=-4,求yx的值.

 分析与解 x,y的值均未知,而题目却只给了一个方程,似乎无法求值,但仔细挖掘题中的隐含条件可知,可以利用非负数的性质求解.

 因为x2-4x+|3x-y|=-4,所以

 x2-4x+4+|3x-y|=0,

 即 (x-2)2+|3x-y|=0.

 

 所以 yx=62=36.

 例9 未知数x,y满足

 (x2+y2)m2-2y(x+n)m+y2+n2=0, 其中m,n表示非零已知数,求x,y的值.

 分析与解 两个未知数,一个方程,对方程左边的代数式进行恒等变形,经过配方之后,看是否能化成非负数和为零的形式.

 将已知等式变形为

 m2x2+m2y2-2mxy-2mny+y2+n2=0,

 (m2x2-2mxy+y2)+(m2y2-2mny+n2)=0,即 (mx-y)2+(my-n)2=0.

 

  

试题详情

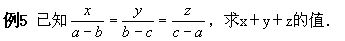
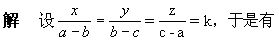
3.设参数法与换元法求值

 如果代数式字母较多,式子较繁,为了使求值简便,有时可增设一些参数(也叫辅助未知数),以便沟通数量关系,这叫作设参数法.有时也可把代数式中某一部分式子,用另外的一个字母来替换,这叫换元法.

 

 分析 本题的已知条件是以连比形式出现,可引入参数k,用它表示连比的比值,以便把它们分割成几个等式.

 

 x=(a-b)k,y=(b-c)k,z=(c-a)k.

 所以

 x+y+z=(a-b)k+(b-c)k+(c-a)k=0.

  

 

  

 u+v+w=1,①

 

 由②有

 

 把①两边平方得

 u2+v2+w2+2(uv+vw+wu)=1,

 所以u2+v2+w2=1,

 即

  

  

  

  

 两边平方有

 

 所以

 

试题详情

2.利用乘法公式求值

 例3 已知x+y=m,x3+y3=n,m≠0,求x2+y2的值.

 解 因为x+y=m,所以

 m3=(x+y)3=x3+y3+3xy(x+y)=n+3m·xy,

 

 所以

  

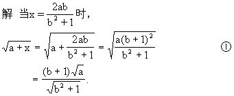
 求x2+6xy+y2的值.

 分析 将x,y的值直接代入计算较繁,观察发现,已知中x,y的值正好是一对共轭无理数,所以很容易计算出x+y与xy的值,由此得到以下解法.

 解 x2+6xy+y2=x2+2xy+y2+4xy

     =(x+y)2+4xy

    

试题详情

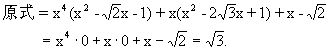
1.利用因式分解方法求值

 因式分解是重要的一种代数恒等变形,在代数式化简求值中,经常被采用.

 

 分析 x的值是通过一个一元二次方程给出的,若解出x后,再求值,将会很麻烦.我们可以先将所求的代数式变形,看一看能否利用已知条件.

 解 已知条件可变形为3x2+3x-1=0,所以

 6x4+15x3+10x2

 =(6x4+6x3-2x2)+(9x3+9x2-3x)+(3x2+3x-1)+1

 =(3x2+3x-1)(2z2+3x+1)+1

 =0+1=1.

 说明 在求代数式的值时,若已知的是一个或几个代数式的值,这时要尽可能避免解方程(或方程组),而要将所要求值的代数式适当变形,再将已知的代数式的值整体代入,会使问题得到简捷的解答.

 例2 已知a,b,c为实数,且满足下式:

 a2+b2+c2=1,①

 

 求a+b+c的值.

 解 将②式因式分解变形如下

 

 即

 

 

 所以

 a+b+c=0或bc+ac+ab=0.

 若bc+ac+ab=0,则

 (a+b+c)2=a2+b2+c2+2(bc+ac+ab)

   =a2+b2+c2=1,

 所以 a+b+c=±1.所以a+b+c的值为0,1,-1.

 说明 本题也可以用如下方法对②式变形:

 

 即

 

 前一解法是加一项,再减去一项;这个解法是将3拆成1+1+1,最终都是将②式变形为两个式子之积等于零的形式.

试题详情

12. 填空题:

(1)如图1,已知:AC =DB,要使,只需增加一个条件是_____  ____.

(2)如图2,已知:中,AM平分CM =20cm那么MAB的距离

       .

(3)如图3,已知:在中,如果AB =DEBC =EF,只要找出   =       =    

    //    ,就可证得.

(4). 已知:如图4,AB =EB,∠1=∠2,∠ADE =120°,AEBD相交于F,则∠3的度数为___    ___.

(5). 如图5, 已知:∠1 =∠2 , ∠3 =∠4 , 要证BD =CD , 需先证△AEB ≌△A EC , 根据是_________再证△BDE ≌△__  ____ , 根据是__  ________.

(6). 已知:如图6 , ACBCC , DEACE , ADABA , BC =AE.若AB = 5 , 则AD =___________.

试题详情


同步练习册答案